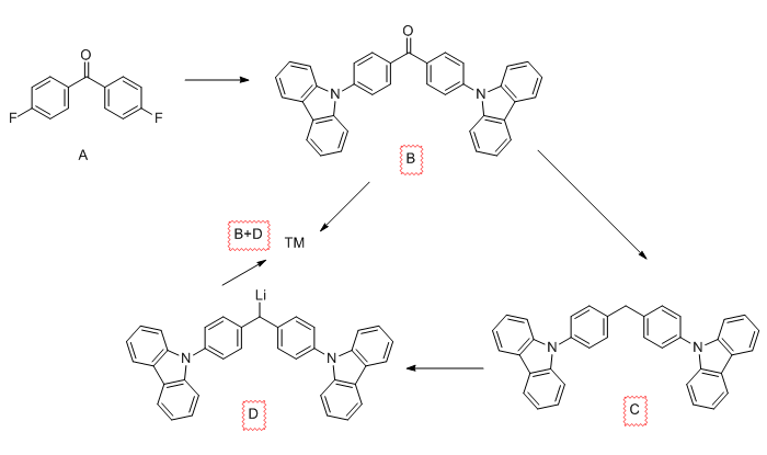
需要1,1,2,2-tetrakis(4-(9H-carbazol-9-yl)phenyl)ethene , 合成路线,谢谢 untitled.jpg 返回小木虫查看更多
最后B+D产物加浓硫酸,脱水成四苯乙烯!! 四咔唑四苯乙烯.png
我捞我自己
最后B+D产物加浓硫酸,脱水成四苯乙烯!!

四咔唑四苯乙烯.png
有没有具体的合成条件或者是文献,谢谢
这个还算常规有机合成,没要求绝对无水无氧,第一步,咔唑稍过量,DMF,叔丁醇加,二苯甲酮回流;第二步,参考黄鸣龙还原;第三第四一起,THF溶解二苯甲烷,干冰丙酮—78℃浴,滴稍过量正丁基锂,滴完升温至常温,再次降温至-78℃,滴加二苯甲酮THF溶液,再次升温至常温;第五步,上步产物加浓硫酸
,
我捞我自己