小木虫
登陆
|
注册
首页
导读
期刊
发现
社区
招聘老师
当前位置:
首页
>
有机
>
求助该物质产生原理
求助该物质产生原理
作者
寂寞的狼
来源:
小木虫
550
11
举报帖子
+关注
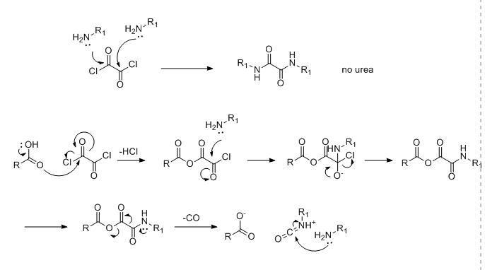
如图所示
UZ%EK$DN1R($SZ8E}LT7(Q5.png
返回小木虫查看更多
分享至:
更多
今日热帖
关于ATRP文献...
请教氰基水解,端...
甘油磷酸胆碱和去...
Chemdraw...
这个反应为何没有...
OTIPS 炔烃...
喜树碱(CPT)...
3位羰基使用乙二...
精华评论
寂寞的狼
引用回帖:
8楼
:
Originally posted by
llee
at 2020-09-25 20:46:25
感觉上还应该是由草酰氯引入的,草酰氯与胺也是可以形成异氰酸酯的,胺再与异氰酸酯形成脲。如果你是用GC检测草酰氯,检测的过程中草酰氯可能就已经分解了,尤其还有DMF催化情况下,检测结果可能并不能反映真实情况 ...
草酰氯经过衍生GC检测的,检测结果较可靠。草酰氯与胺在三乙胺、DMF条件下,得到草酰氯与2分子胺生成的双酰胺杂质,未检测到脲的产生。
llee
引用回帖:
9楼
:
Originally posted by
寂寞的狼
at 2020-09-27 08:48:11
草酰氯经过衍生GC检测的,检测结果较可靠。草酰氯与胺在三乙胺、DMF条件下,得到草酰氯与2分子胺生成的双酰胺杂质,未检测到脲的产生。...
“草酰氯与胺在三乙胺、DMF条件下,得到草酰氯与2分子胺生成的双酰胺杂质,未检测到脲的产生” 这个反应条件除了没有加入酸以外与原始的反应条件有什么不同?原反应条件中是否有草酰二胺杂质,是否有丙酸?看上去排除了草酰氯分解产生光气,以及胺与草酰氯直接形成异氰酸酯,同时说明丙酸或者丙酰氯在这个过程中起了作用?猜一下机理哈
1.png
,
jpingmao
引用回帖:
10楼
:
Originally posted by
llee
at 2020-09-27 19:40:08
“草酰氯与胺在三乙胺、DMF条件下,得到草酰氯与2分子胺生成的双酰胺杂质,未检测到脲的产生” 这个反应条件除了没有加入酸以外与原始的反应条件有什么不同?原反应条件中是否有草酰二胺杂质,是否有丙酸?看上去排 ...
丙酸存在,机理理论比较合理
jpingmao
认为丙酸存在,这样分析比较合理
11
‹‹
1
2
猜你喜欢
板块导航
网络生活
育儿交流
健康生活
有奖问答
资源共享
课件资源
试题资源
化学化工
有机
高分子
无机物化
分析
催化
工艺技术
化工设备
化工
精细化工
电化学
环境
专业学科
机械
物理
数学
农林
食品
地学
能源
信息科学
理工农林
科研生活
博后之家
专业外语
外语学习
导师招生
找工作
招聘信息
考研
考博
公务员
生物医药
新药研发
药学
药品生产
分子生物
微生物
动植物
生物科学
医学
材料
材料
材料工程
微米纳米
晶体
金属
非金属
生物材料
功能材料
复合材料
计算模拟
第一原理
量子化学
计算模拟
分子模拟
仿真模拟
程序语言
学术交流
论文投稿
基金申请
学术会议
出国留学
留学生活
公派出国
访问学者
海外博后
留学DIY
签证指南
出国考试
海外院所
注册执考
化工工程师
执业药师
执业医师
环境工程师
会计师
注册考试
24小时热帖
换一批
欢迎211本科同学,过A区国家线,A区非偏远一本,交叉学科课题组
11
成果系统访问量大,请15分钟后再尝试。由此给您造成的不便,敬请谅解。
14
281电子信息求调剂
8
材料277分求调剂
7
求调剂院校
12
应助之星
babero
+关注
北京莱茵润色
+关注
houyaoxu
+关注
bobvan
+关注
每天只摆一小会
+关注
下载小木虫APP
与700万科研达人随时交流
二维码
IOS
安卓
欢迎监督和反馈
:小木虫仅提供交流平台,不对该内容负责。
欢迎协助我们监督管理,共同维护互联网健康,违规贴举报删除请联系邮箱:xiaomuchong@tal.com
(点此查看侵权举报方式)
我们保证在7个工作日内给予处理和答复,谢谢您的监督。
©2001-2026 muchong.com,小木虫
京ICP备16008351号
京公网安备 11010802022153号
Copyright © 2001-2026 muchong.com, All Rights Reserved. 小木虫 版权所有
草酰氯经过衍生GC检测的,检测结果较可靠。草酰氯与胺在三乙胺、DMF条件下,得到草酰氯与2分子胺生成的双酰胺杂质,未检测到脲的产生。
“草酰氯与胺在三乙胺、DMF条件下,得到草酰氯与2分子胺生成的双酰胺杂质,未检测到脲的产生” 这个反应条件除了没有加入酸以外与原始的反应条件有什么不同?原反应条件中是否有草酰二胺杂质,是否有丙酸?看上去排除了草酰氯分解产生光气,以及胺与草酰氯直接形成异氰酸酯,同时说明丙酸或者丙酰氯在这个过程中起了作用?猜一下机理哈
1.png
,
丙酸存在,机理理论比较合理
认为丙酸存在,这样分析比较合理