新人刚做有机合成求指点如何去除甲磺酸
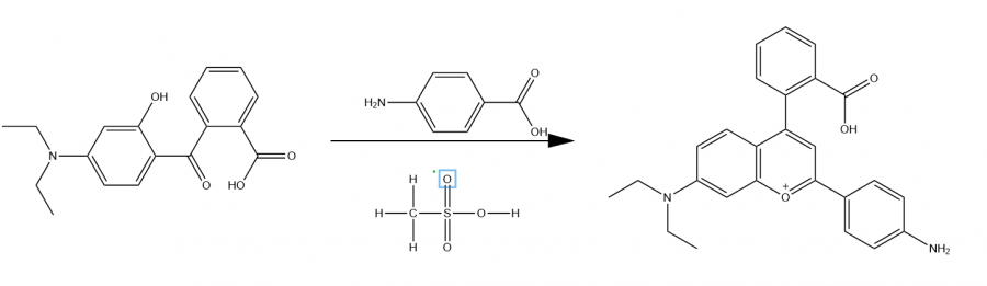
按照文献中的步骤来的,但是怎么都旋蒸不掉甲磺酸,甲磺酸常压沸点167,旋蒸160度都不行,真空泵没有问题,尝试放烘箱,确实烘干了,但产物也分解变质了,求大神指点,附图:

QQ截图20200909122601.png

QQ截图20200909122545.png
返回小木虫查看更多
今日热帖
按照文献中的步骤来的,但是怎么都旋蒸不掉甲磺酸,甲磺酸常压沸点167,旋蒸160度都不行,真空泵没有问题,尝试放烘箱,确实烘干了,但产物也分解变质了,求大神指点,附图:

QQ截图20200909122601.png

QQ截图20200909122545.png
返回小木虫查看更多
重结晶、反萃取等。
文献的意思不是用二氯甲烷萃取吗,甲磺酸溶于水但是不溶于烷烃
反应完了先用碳酸氢钠水溶液淬灭了(完全中和了甲磺酸)再用二氯萃
我尝试中和之后萃取旋蒸,但是得到的是油膜状,没法得到粉末。是不是因为有甲磺酸钠存在。过柱子可以去掉吗
油膜状,有可能是产物太少,旋蒸完了贴在瓶壁上,几毫克的东西旋蒸完了很难拿到状态很好的固体。有个办法,旋蒸完了的油膜状物用少量乙腈溶掉,加点水,冻干,这样拿到的固体状态就是很轻的粉末。
另外,中和之后萃取旋蒸,得到的估计是粗产品,如果量多的话就刷个柱子,量少的话就爬大板。简单的一个萃取就想得到纯品,一般情况下比较难。
感谢回复,我用乙醇洗完旋蒸后的瓶子将收集的液体烘干得到的固体仍然还是黏糊糊的感觉但已经干了,很费劲能搞下来。里面应该有我要的产物和甲磺酸钠,尝试了tlc爬板过了柱子,做了质谱发现杂峰更多了还不如过柱子之前的,甲磺酸钠相对分子质量102,过完柱子还是能看到102的峰,所以现在很想去掉甲磺酸钠,该如何去掉呢?我查阅了有关用甲磺酸作溶剂的有机合成,他们都是将反应后的液体直接导入冰水混合物中再中和,然后萃取干燥再过柱子,这样是可以去掉甲磺酸钠吗
,
另外爬tlc小板的时候,按文献中二氯甲烷:乙醇=30:1一点爬不动,尝试用二氯甲烷:乙醇=1:1才爬上去了,混合物的颜色是紫色,爬完后只有这个可见的点移动上去了,紫外灯下也没看到别的,tlc板用的是本身不带荧光那种,所以如何判断分离开了呢。要不要拿甲磺酸水溶液和碳酸钠中和一下拿纯的甲磺酸钠试一试呢