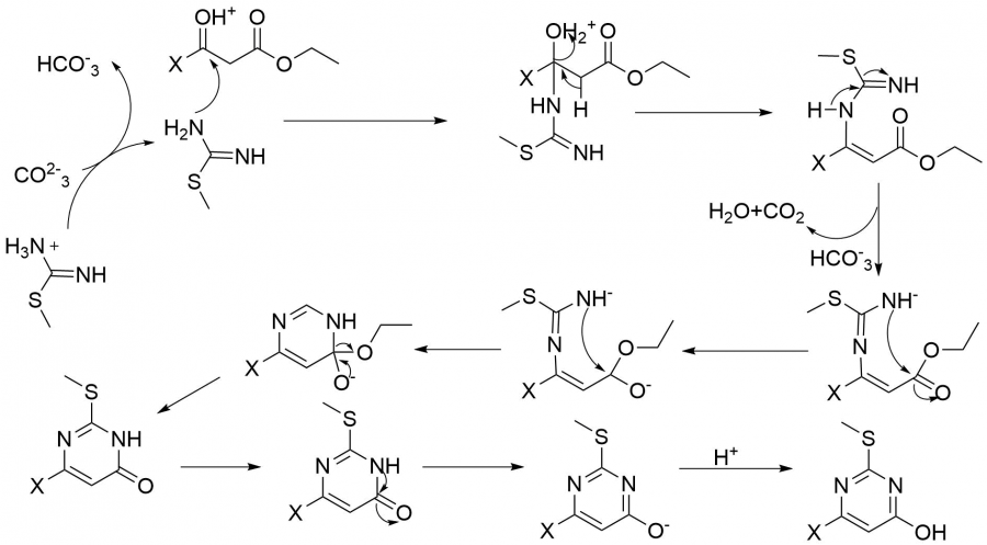
求有机大神,帮忙解释一下乙酰乙酸乙酯,在碳酸钠的水溶液中,室温条件下与S-甲基异硫脲硫酸盐环合得到嘧啶酚的反应机理。(最好带图) 乙酰乙酸乙酯,在碱性条件下与S-甲基异硫脲硫酸盐环合得到嘧啶酚 返回小木虫查看更多
就这样吧,这些都是杂环化学里的类容,可以买一本反应本的杂环化学,看过久了,书名就叫杂环化学。 AAA-1.png
感谢您的回复。那个"B-"和“HB”是指什么呢
,
就这样吧,这些都是杂环化学里的类容,可以买一本反应本的杂环化学,看过久了,书名就叫杂环化学。

AAA-1.png