ÇóÌå»ýµÄ¶þÖØ»ý·ÖÇó²»³öÀ´ ÇóÊýѧ´óÀаïæ
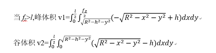
Õâ¸ö¶þÖØ»ý·ÖÔõô»ý²»³öÀ´°¡ ÒªÇó½âÎöʽ ÆäÖÐfz l h r ¶¼ÊDZäÁ¿ ÉÏÃæÒ»¸öʽ×ÓÒªºÍÏÂÃæÒ»¸öʽ×ÓÏàµÈ matlab Ëã²»³öÀ´ Èç¹ûÖ»¶Ôx»ý·ÖµÄ»° ½á¹ûÊÇÕâ¸ö - h*x + log((r^2 - x^2 - y^2)^(1/2) + x*1i)*((r^2*1i)/2 - (y^2*1i)/2) - (x*(r^2 - x^2 - y^2)^(1/2))/2 ÀïÃæÓи´Êý±íʾʲôÒâ˼°¡ Õâ¸öʽ×ÓÊÇÇóÌå»ýµÄ ½á¹û²»Ó¦¸ÃÓи´Êý°¡
Ï£Íûv1 v2¿ÉÒÔÇó³öÒ»¸ö ͨ¹ýËûÃÇÏàµÈµÄ¹ØÏµÇó³öhµÄ½âÎöʽ

{YX4X%H{6GHBGC8WFN~@(JD.png

W`)O6DL5T`_T{4JVZ9H@_OX.png

S_2_F9O~]{RH3}6C5}`QTMK.png
·µ»ØÐ¡Ä¾³æ²é¿´¸ü¶à
½ñÈÕÈÈÌû
¾©¹«Íø°²±¸ 11010802022153ºÅ
Ìý˵mathmeticÈí¼þ¿ÉÒÔ×ö³öÀ´ À´¸ö´óÀаïæËãÏ»òÕ߸ø¸ö˼·°£¬