小木虫
登陆
|
注册
首页
导读
期刊
发现
社区
招聘老师
当前位置:
首页
>
考研
>
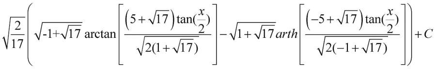
这道题怎么解?求教
这道题怎么解?求教
作者
炉石传说666
来源:
小木虫
350
7
举报帖子
+关注
听说有人用程序算过,无解,真的吗
返回小木虫查看更多
下载小木虫APP快人一步一键申请调剂
分享至:
更多
今日热帖
280求调剂学校
【第二次调剂】化...
085400电子...
温肯研究生怎么样...
26福大联培物化...
数三经济学求调剂...
机器人应用技术研...
工科考研调剂 ...
精华评论
newskyma
没有上下限,怎么算
ncomm
0001.jpg
,
炉石传说666
谢谢
猜你喜欢
板块导航
网络生活
育儿交流
健康生活
有奖问答
资源共享
课件资源
试题资源
化学化工
有机
高分子
无机物化
分析
催化
工艺技术
化工设备
化工
精细化工
电化学
环境
专业学科
机械
物理
数学
农林
食品
地学
能源
信息科学
理工农林
科研生活
博后之家
专业外语
外语学习
导师招生
找工作
招聘信息
考研
考博
公务员
生物医药
新药研发
药学
药品生产
分子生物
微生物
动植物
生物科学
医学
材料
材料
材料工程
微米纳米
晶体
金属
非金属
生物材料
功能材料
复合材料
计算模拟
第一原理
量子化学
计算模拟
分子模拟
仿真模拟
程序语言
学术交流
论文投稿
基金申请
学术会议
出国留学
留学生活
公派出国
访问学者
海外博后
留学DIY
签证指南
出国考试
海外院所
注册执考
化工工程师
执业药师
执业医师
环境工程师
会计师
注册考试
24小时热帖
换一批
职称评审没过,求安慰
21
垃圾破二本职称评审标准
15
投稿Elsevier的Neoplasia杂志,到最后选publishing options时页面空白,不能完成投稿
20
EST投稿状态问题
7
谈谈两天一夜的“延安行”
15
应助之星
bobvan
+关注
北京莱茵润色
+关注
lxg133298
+关注
chengq
+关注
下载小木虫APP
与700万科研达人随时交流
二维码
IOS
安卓
欢迎监督和反馈
:小木虫仅提供交流平台,不对该内容负责。
欢迎协助我们监督管理,共同维护互联网健康,违规贴举报删除请联系邮箱:xiaomuchong@tal.com
(点此查看侵权举报方式)
我们保证在7个工作日内给予处理和答复,谢谢您的监督。
©2001-2025 muchong.com,小木虫
京ICP备16008351号
京公网安备 11010802022153号
Copyright © 2001-2025 muchong.com, All Rights Reserved. 小木虫 版权所有
没有上下限,怎么算
0001.jpg
,
谢谢