审稿人意见回复
首次投稿给了大修,返回修改意见后,第二次审稿给了小修,但是其中一个问题不知道如何回复。
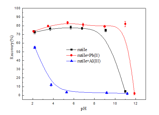
这是首次投稿意见和我的回复,在原图的基础上家里误差棒


这是二次审稿的意见,请问origin 指的是什么,该如何回复?
@Monash2011
返回小木虫查看更多
今日热帖
首次投稿给了大修,返回修改意见后,第二次审稿给了小修,但是其中一个问题不知道如何回复。
这是首次投稿意见和我的回复,在原图的基础上家里误差棒


这是二次审稿的意见,请问origin 指的是什么,该如何回复?
@Monash2011
返回小木虫查看更多
origin是画图软件啊
那该如何回复呢,state origin,把origin介绍一下吗
,
个人理解,实验数据和评估曲线存在±偏差,你应该解释一下实验偏差存在的原因,是什么因素导致的,你这个实验重复的频率和实验间隔怎么样的,是否可能是这些因素导致的。仅供参考
多学习
个人觉得应该是审稿人要你给出数据的原始值,也就是原始数据
我看错了,你画的就是origin ,他可能觉得你曲线效果不是特别好要陈述一下原始数据,个人理解