小木虫
登陆
|
注册
首页
导读
期刊
发现
社区
招聘老师
当前位置:
首页
>
考研
>
有机完成反应题
有机完成反应题
作者
无敌爱蛋蛋
来源:
小木虫
850
17
举报帖子
+关注
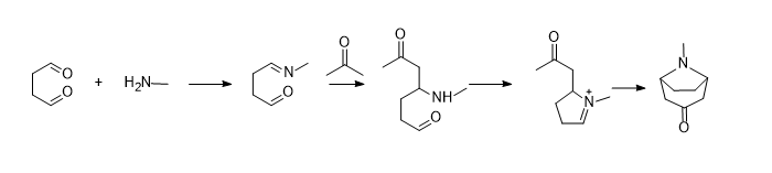
有机完成反应题 不确定产物
返回小木虫查看更多
下载小木虫APP快人一步一键申请调剂
分享至:
更多
今日热帖
河大学科历史求调...
工科考研调剂 ...
材料 本科天津工...
【第二次调剂】分...
085602 化...
华侨大学化工学院...
神经生物学求调剂
衢州学院化学与材...
精华评论
无敌爱蛋蛋
DJ_Tokyo
DJ_Tokyo
DJ_Tokyo
引用回帖:
7楼
:
Originally posted by
无敌爱蛋蛋
at 2017-10-03 00:07:58
我写到倒数第二步,觉得与羰基相连的甲基失氢进攻胺的话,应该在碱性条件,但是这样又前后矛盾,所以没有做出来。谢谢你的回答
...
不好意思,昨天迷迷糊糊的写错了
DJ_Tokyo.gif
,
无敌爱蛋蛋
demogeek
DJ_Tokyo
引用回帖:
14楼
:
Originally posted by
demogeek
at 2017-10-03 17:40:17
最后一步是什么反应啊
...
Intramolecular Michael Addition
虫4608
引用回帖:
12楼
:
Originally posted by
DJ_Tokyo
at 2017-10-03 02:28:09
不好意思,昨天迷迷糊糊的写错了
DJ_Tokyo.gif
...
曼尼希反应是先形成亚胺吧
E{6]0G49G[5{U8L5)T6XUHQ.png
17
‹‹
1
2
3
››
猜你喜欢
板块导航
网络生活
育儿交流
健康生活
有奖问答
资源共享
课件资源
试题资源
化学化工
有机
高分子
无机物化
分析
催化
工艺技术
化工设备
化工
精细化工
电化学
环境
专业学科
机械
物理
数学
农林
食品
地学
能源
信息科学
理工农林
科研生活
博后之家
专业外语
外语学习
导师招生
找工作
招聘信息
考研
考博
公务员
生物医药
新药研发
药学
药品生产
分子生物
微生物
动植物
生物科学
医学
材料
材料
材料工程
微米纳米
晶体
金属
非金属
生物材料
功能材料
复合材料
计算模拟
第一原理
量子化学
计算模拟
分子模拟
仿真模拟
程序语言
学术交流
论文投稿
基金申请
学术会议
出国留学
留学生活
公派出国
访问学者
海外博后
留学DIY
签证指南
出国考试
海外院所
注册执考
化工工程师
执业药师
执业医师
环境工程师
会计师
注册考试
24小时热帖
换一批
售SCI一区文章,我:8 O5 51O 54,科目齐全,可+急
8
体制内长辈说体制内绝大部分一辈子在底层,如同你们一样大部分普通教师忙且收入低
13
售SCI一区文章,我:8 O5 51O 54,科目齐全,可+急
8
售SCI一区文章,我:8 O5 51O 54,科目齐全,可+急
8
售SCI一区文章,我:8 O5 51O 54,科目齐全,可+急
11
应助之星
下载小木虫APP
与700万科研达人随时交流
二维码
IOS
安卓
欢迎监督和反馈
:小木虫仅提供交流平台,不对该内容负责。
欢迎协助我们监督管理,共同维护互联网健康,违规贴举报删除请联系邮箱:xiaomuchong@tal.com
(点此查看侵权举报方式)
我们保证在7个工作日内给予处理和答复,谢谢您的监督。
©2001-2026 muchong.com,小木虫
京ICP备16008351号
京公网安备 11010802022153号
Copyright © 2001-2026 muchong.com, All Rights Reserved. 小木虫 版权所有
不好意思,昨天迷迷糊糊的写错了
DJ_Tokyo.gif
,
Intramolecular Michael Addition
曼尼希反应是先形成亚胺吧
E{6]0G49G[5{U8L5)T6XUHQ.png