谢谢 返回小木虫查看更多
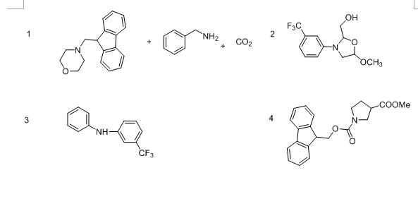
1、Cbz保护的胺基的去保护反应; 2、你的第二步反应条件是否写错了;是否应该是NaBH3CN? 3、消除加成反应,苯炔中间体与间三氟甲基苯胺反应; 4、Cbz保护胺基的反应,即简单的酰化反应
多给点金币哈 V${5OC3)$O%36Q13X(KTENK.png ,
第二个少画了一个碳原子,把苯基变为苄基就可以了
嗯。
1、Cbz保护的胺基的去保护反应;
2、你的第二步反应条件是否写错了;是否应该是NaBH3CN?
3、消除加成反应,苯炔中间体与间三氟甲基苯胺反应;
4、Cbz保护胺基的反应,即简单的酰化反应
多给点金币哈

V${5OC3)$O%36Q13X(KTENK.png
,
第二个少画了一个碳原子,把苯基变为苄基就可以了
嗯。