当前位置: 首页 > 论文投稿 >请求计算机视觉的大神帮助看看这个图

请求计算机视觉的大神帮助看看这个图

作者 anlan1008
来源: 小木虫 150 3 举报帖子
+关注

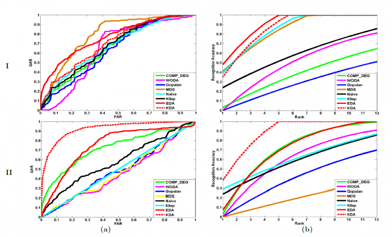
请教计算机视觉领域的同学,像这几个图,是用什么工具做出来的,处理的是什么问题,说明了什么。需要用什么样的数据,才能得出这样的图形和结果。
谢谢!

请求计算机视觉的大神帮助看看这个图
1.png


请求计算机视觉的大神帮助看看这个图-1
2.png


请求计算机视觉的大神帮助看看这个图-2
3.png


请求计算机视觉的大神帮助看看这个图-3
4.png


请求计算机视觉的大神帮助看看这个图-4
5.png


请求计算机视觉的大神帮助看看这个图-5
6.jpg 返回小木虫查看更多

今日热帖
  • 精华评论
  • stone1239528

    Matlab毫无压力,看样子就是matlab做的,

猜你喜欢
应助之星
下载小木虫APP
与700万科研达人随时交流
  • 二维码
  • IOS
  • 安卓