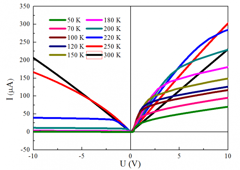
跪求IV伏安特性曲线随着温度变化,势垒高度的变化
如题:我测里一个结的IV伏安特性曲线随着温度变化,从图中我们怎么知道其势垒高度随着温度的变化是减小还是升高,其依据是什么?!另外,正常的IV曲线是向下凹的,而我的是向上凸起的,初步判定是隧穿机理,不知道是否正确,请高手指点!多谢!!急求!!!急求!!!

IV.png
返回小木虫查看更多
今日热帖
如题:我测里一个结的IV伏安特性曲线随着温度变化,从图中我们怎么知道其势垒高度随着温度的变化是减小还是升高,其依据是什么?!另外,正常的IV曲线是向下凹的,而我的是向上凸起的,初步判定是隧穿机理,不知道是否正确,请高手指点!多谢!!急求!!!急求!!!

IV.png
返回小木虫查看更多
趁高手还没来,抛个砖先。
减小,因为加同样的电压得到更大的电流。
向上凹说明这是一个不好的diode。
没看到负微分电阻区啊,怎么说是隧穿呢?
为什么你加反向偏压的IV曲线少了几条?
大家交流一下哦,别客气。暂时手边没有施敏的书,呃。对啊,负微分区没有出现在你的IV曲线里,如何证明是隧穿了? 你的是什么材料啊?
0.5mm的本证i-Si衬底上长了100nm的Mn0.4Si0.6非晶薄膜(i-Si长膜前带有自然氧化的SiO2,大约2nm)。结的测量如图所示。我邮箱:yangac_@126.com QQ:253914407。多谢!
IV.png
,