当前位置: 首页 > 晶体 >求大神分析XRD数据,不知道什么物质,跪求

求大神分析XRD数据,不知道什么物质,跪求

作者 VIMPILE
来源: 小木虫 500 10 举报帖子
+关注

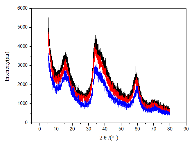
主要元素为Ni,O,H,C,还有少量Co,Cl
我本来想做Ni(OH)2的.希望大神能指出具体物质,并给出卡片编号,金币20个可能少了,大神给数据正确后再补发.
实验方案:
NiCl2和CoCl2不同比例混合,加入环氧丙烷,室温静置制备的凝胶,不会分析XRD数据,求大神指导
跪求求大神分析XRD数据,不知道什么物质,跪求
XRD.png

 返回小木虫查看更多

今日热帖
  • 精华评论
  • 相识是缘

    结晶度很差

  • yq1271

    xrd的图谱很杂,可能你的晶体生长的都不是很好,建议你改进下实验方案。你可以把你制备的样品高温煅烧下,再去测下xrd应该峰就会出来了。

  • 947944607

    改进下实验方法,杂峰太多了

  • VIMPILE

    引用回帖:
    3楼: Originally posted by yq1271 at 2015-06-10 00:12:39
    xrd的图谱很杂,可能你的晶体生长的都不是很好,建议你改进下实验方案。你可以把你制备的样品高温煅烧下,再去测下xrd应该峰就会出来了。

    冒昧问下,你根据现有数据能分析出来它是什么物质组成的吗?
    可能是多相的,XRD测试还在排队,轮到我还要一些时间,主要是我不会分析这个,麻烦大神给分析下呗

  • VIMPILE

    引用回帖:
    4楼: Originally posted by 947944607 at 2015-06-10 11:34:53
    改进下实验方法,杂峰太多了

    这位大神,根据目前的数据你能帮帮分析下是什么物质吗?
    一时还不能去做XRD测试,只有这些数据

  • VIMPILE

    引用回帖:
    2楼: Originally posted by 相识是缘 at 2015-06-09 21:58:31
    结晶度很差

    您能根据现有这些数据分析出这是什么物质吗?

猜你喜欢
应助之星
下载小木虫APP
与700万科研达人随时交流
  • 二维码
  • IOS
  • 安卓