非线性微分方程推导及求解思路
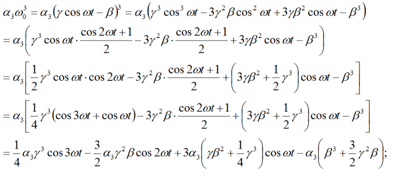
问题1:公式(29a)怎样得到?
其中公式(29b)已有文献思路推得。如果不积分只是代入,取cos(omega*t)的系数为零(谐波平衡法),得到的结果和文献式(29a)相比少了含gamma^3的项。
2:方程(29)的求解思路具体是怎样的?(因自己英文水平有限,还没怎理解其思路)

1.png

2.png

3.png

4.png
今日热帖
问题1:公式(29a)怎样得到?
其中公式(29b)已有文献思路推得。如果不积分只是代入,取cos(omega*t)的系数为零(谐波平衡法),得到的结果和文献式(29a)相比少了含gamma^3的项。
2:方程(29)的求解思路具体是怎样的?(因自己英文水平有限,还没怎理解其思路)

1.png

2.png

3.png

4.png
如图所示:




1.png
2.png
3.png
4.png
,
你好,你是采用的软件进行推导的吗,具体采用的是什么软件呀?