大家进来看看保护基的问题
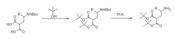
如图:

请问,t-Bu和Boc如何选择性脱去,脱去Boc,留下t-Bu。TFA/DCM的条件是不是都会脱掉?有其他好方法吗?羧基的保护有其他什么好办法吗?
有朋友说不妨调换一下,请问各位虫友,哪个更好?

[ Last edited by shaojiyeah on 2013-9-9 at 17:47 ]
返回小木虫查看更多
今日热帖
如图:

请问,t-Bu和Boc如何选择性脱去,脱去Boc,留下t-Bu。TFA/DCM的条件是不是都会脱掉?有其他好方法吗?羧基的保护有其他什么好办法吗?
有朋友说不妨调换一下,请问各位虫友,哪个更好?

[ Last edited by shaojiyeah on 2013-9-9 at 17:47 ]
返回小木虫查看更多
这个要看你什么时候脱叔丁酯了,可以考虑使用苄酯保护
至于t-Bu和Boc选择性脱去,可以考虑使用TMSCl,只会脱Boc
你这个做好用地一种方法,用第二种方法很容易关环,形成环状酰胺,即使是酯也有可能,直接用酸就行,BOC怕酸,酯如果温度不是很高时没关系的,
我觉得就比较难了,酸性条件下都是消去产生异丁烯,能有多少差别呢?换保护基吧。