当前位置: 首页 > 有奖问答 >有关PR方程二元交互作用参数回归

有关PR方程二元交互作用参数回归

作者 专利护航员
来源: 小木虫 150 3 举报帖子
+关注

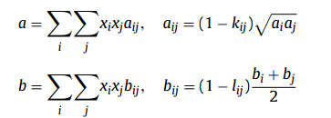
我刚接触课题,正在摸索使用PR状态方程和van der waals-2混合规则关联汽液平衡数据,想回归方程中的二元交互作用参数,该用什么软件?我试过aspen了,里面没有这种混合规则
方程和混合规则如图,想回归出aij和bij
有关PR方程二元交互作用参数回归
2.png


有关PR方程二元交互作用参数回归-1
1.png 返回小木虫查看更多

今日热帖
  • 精华评论
  • feixiaolin

    用最优化方法求解。
    可以参考附件。

  • 逍遥紫蝴蝶

    引用回帖:
    2楼: Originally posted by feixiaolin at 2013-07-16 10:50:46
    用最优化方法求解。
    可以参考附件。

    可以不可以用matlab啊?对于Fortran语言,我没有一点基础

  • feixiaolin

    引用回帖:
    3楼: Originally posted by 逍遥紫蝴蝶 at 2013-07-17 09:01:31
    可以不可以用matlab啊?对于Fortran语言,我没有一点基础...

    可以的。
    对工科学生matlab几乎是万能的

猜你喜欢
应助之星
下载小木虫APP
与700万科研达人随时交流
  • 二维码
  • IOS
  • 安卓