小木虫
登陆
|
注册
首页
导读
期刊
发现
社区
招聘老师
当前位置:
首页
>
有奖问答
>
数学中 的 积分计算题
数学中 的 积分计算题
作者
nihaojjw
来源:
小木虫
150
3
举报帖子
+关注
返回小木虫查看更多
分享至:
更多
今日热帖
反射式纹影仪光学...
各位晶体大神们,...
显著性差异怎么弄...
求助网站无法访问...
上转换发光机理示...
HAADF im...
origin图的...
Tafel拟合
精华评论
wenjing120
引用回帖:
Originally posted by
nihaojjw
at 2011-03-11 23:30:38:
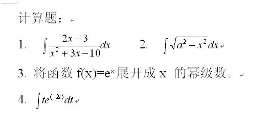
1 ln(x2+3x-10)+C (2次方)
2 做三角变换,令x=asint
答案=a2/2(t+sin2t/2)+C a的二次方
3 1+x+x2/2!+...+xn/n!+... x的二次方,n次方
,
wenjing120
4 如果我没算错
-0.25te-2t*(2t+1) e的-2t次方
深海的鱼
高等数学上的,
猜你喜欢
板块导航
网络生活
育儿交流
健康生活
有奖问答
资源共享
课件资源
试题资源
化学化工
有机
高分子
无机物化
分析
催化
工艺技术
化工设备
化工
精细化工
电化学
环境
专业学科
机械
物理
数学
农林
食品
地学
能源
信息科学
理工农林
科研生活
博后之家
专业外语
外语学习
导师招生
找工作
招聘信息
考研
考博
公务员
生物医药
新药研发
药学
药品生产
分子生物
微生物
动植物
生物科学
医学
材料
材料
材料工程
微米纳米
晶体
金属
非金属
生物材料
功能材料
复合材料
计算模拟
第一原理
量子化学
计算模拟
分子模拟
仿真模拟
程序语言
学术交流
论文投稿
基金申请
学术会议
出国留学
留学生活
公派出国
访问学者
海外博后
留学DIY
签证指南
出国考试
海外院所
注册执考
化工工程师
执业药师
执业医师
环境工程师
会计师
注册考试
24小时热帖
换一批
求调剂
23
301求调剂
15
304求调剂(085602,过四级,一志愿985)
17
302分求调剂 一志愿安徽大学085601
12
288环境专硕,求调材料方向
23
应助之星
nBu锂
+关注
bobvan
+关注
czyzsu
+关注
271179835
+关注
lin-da
+关注
下载小木虫APP
与700万科研达人随时交流
二维码
IOS
安卓
欢迎监督和反馈
:小木虫仅提供交流平台,不对该内容负责。
欢迎协助我们监督管理,共同维护互联网健康,违规贴举报删除请联系邮箱:xiaomuchong@tal.com
(点此查看侵权举报方式)
我们保证在7个工作日内给予处理和答复,谢谢您的监督。
©2001-2026 muchong.com,小木虫
京ICP备16008351号
京公网安备 11010802022153号
Copyright © 2001-2026 muchong.com, All Rights Reserved. 小木虫 版权所有
1 ln(x2+3x-10)+C (2次方)
2 做三角变换,令x=asint
答案=a2/2(t+sin2t/2)+C a的二次方
3 1+x+x2/2!+...+xn/n!+... x的二次方,n次方
,
4 如果我没算错
-0.25te-2t*(2t+1) e的-2t次方
高等数学上的,