【有奖活动系列-第十二期】化合物合成路线大比拼
为了活跃有机综合版广大有机合成爱好者,更为了加强有机综合版学术气氛,也为了将好的活动延续下去,现推出化合物合成路线大比拼活动第十一期,本活动是系列活动,每期都是不同的化合物,我们会按照发帖的先后顺序来评比的,我们会找专家团一起为每期每个化合物拟定一个最合适的路线,供大家参考!此次活动的期限为15天。
每期我们会设一,二,三个档次。
一等奖金币30个,1个名额,获一个OCI。
二等奖金币20个,1个名额
三等奖金币10个,2个名额
只要有3期获一等奖奖励VIP0.001
只要有3期获一,二等奖混合奖励VIP0.0005(两种奖励加期来够3次就可以)
规则要求:
1.合成路线须以GIF格式图片用附件上传(结构式用ChemDraw画好保存时选GIF格式就可以了);
2.合成路线中涉及到反应类型及该反应所用的实验条件(如温度,试剂等)必须注明;
3.对于合成路线中所用的反应类型相同的要从所用试剂和原料的易得性和可行性上考虑评分,不同路线之间设计越合理(比如,路线的长短,可操作性等)分越高。
本期所选的化合物都具有实战性质,希望大家踊跃参与!
本期的活动合成的东西相对要简单一些,希望大家积极参与!请不要灌水,灌水者罚BB!
【有奖系列活动-第一期】化合物合成路线大比拼
https://muchong.com/bbs/viewthread.php?tid=1645430
【有奖系列活动-第二期】化合物合成路线大比拼
https://muchong.com/bbs/viewthread.php?tid=1655880
【有奖系列活动-第三期】化合物合成路线大比拼
https://muchong.com/bbs/viewthread.php?tid=1675827
【有奖活动系列-第四期】化合物合成路线大比拼
https://muchong.com/bbs/viewthread.php?tid=1702328
【有奖活动系列-第五期】化合物合成路线大比拼
https://muchong.com/bbs/viewthread.php?tid=1735268
【有奖活动系列-第六期】化合物合成路线大比拼
https://muchong.com/bbs/viewthread.php?tid=1772724
【有奖活动系列-第七期】化合物合成路线大比拼
https://muchong.com/bbs/viewthread.php?tid=1804370
【有奖活动系列-第八期】化合物合成路线大比拼
https://muchong.com/bbs/viewthread.php?tid=1929175
【有奖活动系列-第九期】化合物合成路线大比拼
https://muchong.com/bbs/viewthread.php?tid=2250079
【有奖活动系列-第十期】化合物合成路线大比拼
https://muchong.com/bbs/viewthread.php?tid=2650519
【有奖活动系列-第十一期】化合物合成路线大比拼
https://muchong.com/bbs/viewthread.php?tid=2692612

尽情大家的参与,谢谢!回帖一律加密“只允许楼主看”
[ Last edited by xiaopengs on 2011-3-16 at 12:47 ]
返回小木虫查看更多
京公网安备 11010802022153号
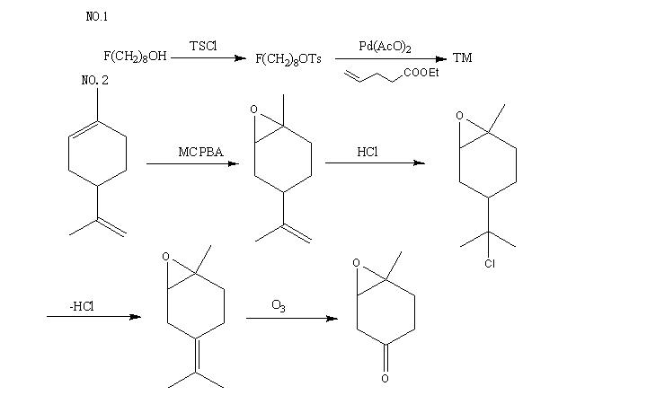
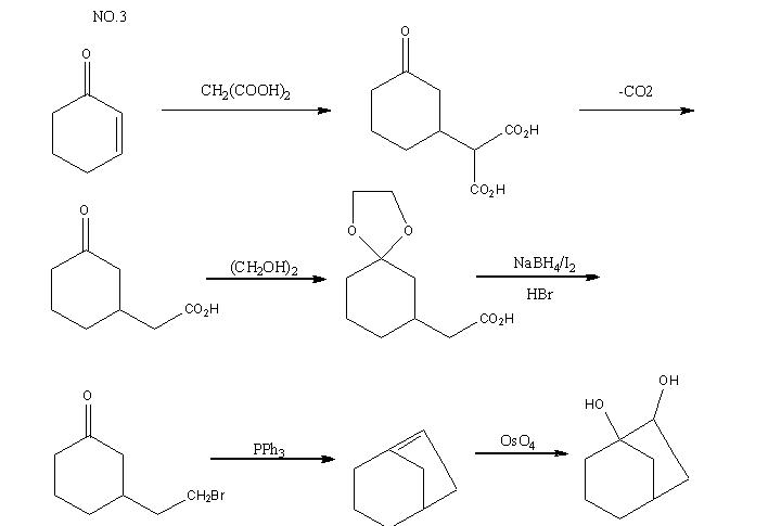
这只是个人理论上的合成想法。至于合理与否我也无解。
在简单烯烃结构中,连有多个烃基的双键更容易被优先环氧化。所以当分子中含有多个以上的双键时,取代基多的优先。Mo,W,V等金属配合物催化下可以进一步提高反应的选择性。
具体的机理我也不太懂。呵呵
[ Last edited by zxf06882 on 2011-3-18 at 15:29 ],
高手真多啊
先学习
高
看了5分钟,还是没有头绪,对我来说难啊。