当前位置: 首页 > 有奖问答 >悬赏有机反应机理。

悬赏有机反应机理。

作者 09xdf
来源: 小木虫 700 14 举报帖子
+关注

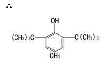
要用物质A制备物质B,物质A和物质B的结构式如图片所示:


 返回小木虫查看更多

今日热帖
  • 精华评论
  • zzyanzz


    碘仿反应

  • 09xdf

    引用回帖:
    Originally posted by 09xdf at 2011-02-18 12:08:29:
    要用物质A制备物质B,物质A和物质B的结构式如图片所示:



    楼上的能否详细点唉,本人是外行

  • 09xdf

    引用回帖:
    Originally posted by zzyanzz at 2011-02-18 14:11:55:
    碘仿反应

    能否详细点呢,谢谢。

  • 09xdf


    继续悬赏

  • changyf


    我记得可以的碘的碱溶液把甲基取代下来,碘取代甲基的位置,然后水解用H把I置换下来。

  • zzyanzz


    手边没资料   实在是想不起来   惭愧!

  • 09xdf

    引用回帖:
    Originally posted by zzyanzz at 2011-02-19 05:45:19:
    手边没资料   实在是想不起来   惭愧!

    没有关系。

猜你喜欢
下载小木虫APP
与700万科研达人随时交流
  • 二维码
  • IOS
  • 安卓