| 查看: 966 | 回复: 4 | |
dubtt银虫 (小有名气)
|
[求助]
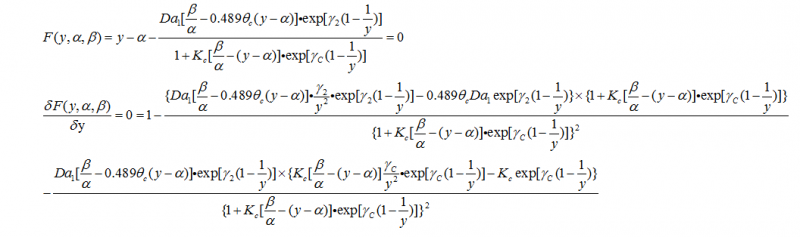
求解非线性方程组,新手第一次接触,只能求各位大神,指点迷津!
|
|
|
|
johnliu1983至尊木虫 (著名写手)
|
|
|
2楼2015-05-10 20:14:20
|
|
dubtt银虫 (小有名气)
|
|
|
3楼2015-05-10 20:18:01
|
|
johnliu1983至尊木虫 (著名写手)
|
|
|
4楼2015-05-10 22:13:02
|
|
dubtt银虫 (小有名气)
|
|
|
5楼2015-05-10 23:10:21
|
|












回复此楼