| 查看: 292 | 回复: 1 | ||
[求助]
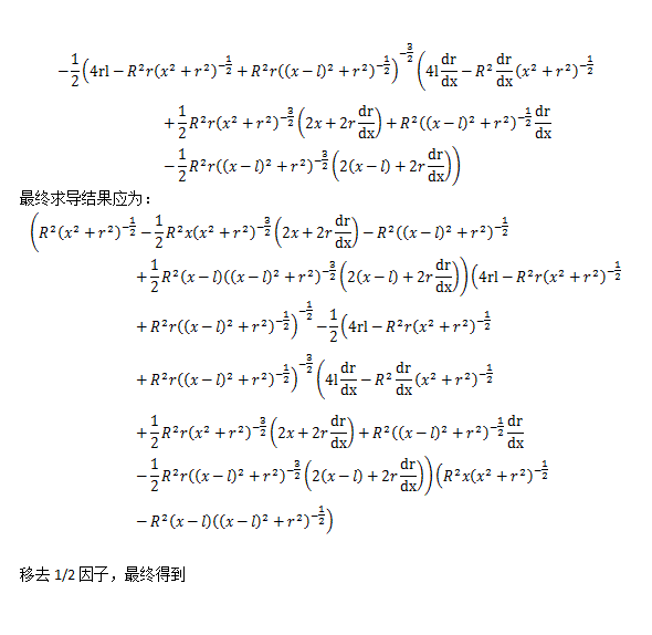
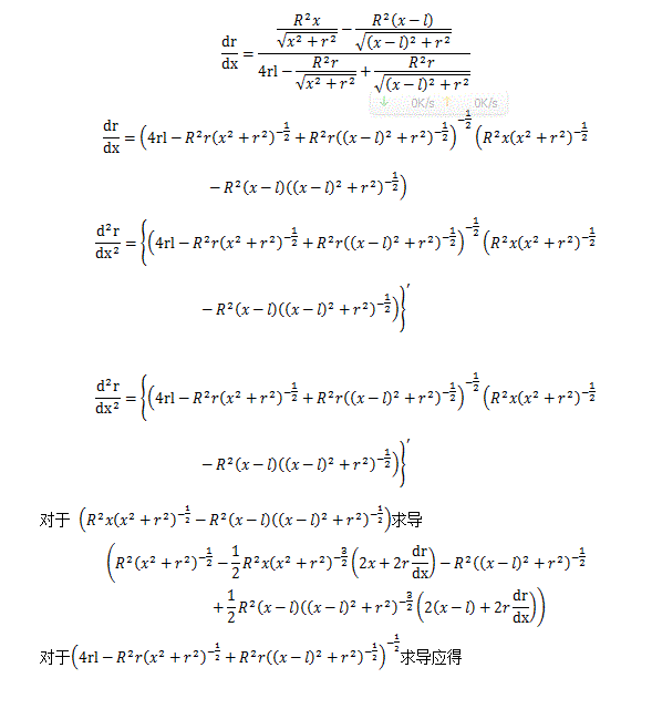
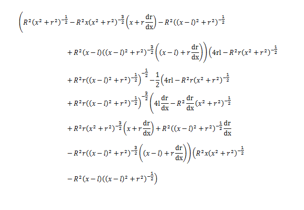
求大神检查求导作业,是否有误。 已有1人参与
|
||
|
|
||
|
★ ★ ★ ★ ★ ★ ★ ★ ★ ★ ★ ★ ★ ★ ★ ★ ★ ★ ★
感谢参与,应助指数 +1 Andy的木枝: 金币+19, ★★★很有帮助, Thank you very much 2015-04-17 14:46:09
|
||
|
2楼2015-04-17 14:21:31
|
|













回复此楼