| 查看: 5457 | 回复: 10 | ||
Ann00金虫 (小有名气)
|
[求助]
【求助】求逆矩阵的求导方法
|
|
|
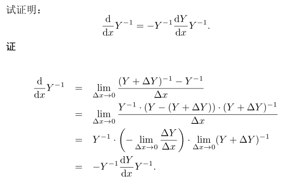
各位高手,请赐教啊 有在网上看到这样的式子, d/dx (Y-1) = -Y-1 d/dx (Y) Y-1 但是推导过程还是不清楚,希望高手指点一二,有书籍或文献推荐不甚感激,若是书籍推荐还烦请指教那页附近,谢谢! |
» 猜你喜欢
(调剂)一志愿报考哈尔滨工业大学0857资源与环境专业378分考生
已经有6人回复
262求调剂
已经有7人回复
材料专硕322分
已经有10人回复
材料调剂
已经有8人回复
085600,320分求调剂
已经有8人回复
一志愿 江南大学 085602 化工专硕 338分求调剂
已经有11人回复
求调剂
已经有6人回复
086000调剂
已经有3人回复
求调剂
已经有4人回复
0703调剂,一志愿天津大学319分
已经有4人回复
» 本主题相关价值贴推荐,对您同样有帮助:
求土壤物理结构研究具体方法和实验设备
已经有4人回复
请教,已知实矩阵特征值,求其对应的特征向量?用什么方法?
已经有12人回复
【求助】[求助]矩阵的逆与转置
已经有6人回复
【分享】2011考研数学二大纲
已经有9人回复
【求助】分块矩阵求逆矩阵
已经有9人回复
【求助】请问谁会重氮盐的热分解呀
已经有6人回复
【求助】100金币求助高人一个程序解方程
已经有15人回复
【分享】10年数2大纲!!
已经有13人回复
【求助】请教一个隐函数的求导问题
已经有10人回复

Pchief
铁杆木虫 (正式写手)
- 数学EPI: 26
- 应助: 13 (小学生)
- 贵宾: 0.024
- 金币: 10856.4
- 红花: 36
- 帖子: 987
- 在线: 1992.9小时
- 虫号: 52235
- 注册: 2004-09-04
- 专业: 泛函分析
4楼2012-02-07 14:46:54
2楼2012-02-07 11:47:34
Ann00
金虫 (小有名气)
- 应助: 0 (幼儿园)
- 金币: 2100.6
- 散金: 1266
- 红花: 1
- 帖子: 140
- 在线: 145.7小时
- 虫号: 1215854
- 注册: 2011-02-28
- 性别: MM
- 专业: 集成电路设计与测试

3楼2012-02-07 14:25:55

5楼2012-02-08 10:59:10
hyit_lxq
木虫 (小有名气)
- 应助: 25 (小学生)
- 金币: 3153.8
- 红花: 3
- 帖子: 246
- 在线: 134.3小时
- 虫号: 1359114
- 注册: 2011-08-02
- 专业: 数理统计

6楼2012-02-09 21:02:00
Ann00
金虫 (小有名气)
- 应助: 0 (幼儿园)
- 金币: 2100.6
- 散金: 1266
- 红花: 1
- 帖子: 140
- 在线: 145.7小时
- 虫号: 1215854
- 注册: 2011-02-28
- 性别: MM
- 专业: 集成电路设计与测试

7楼2012-02-10 14:22:07
lv_wenbing
新虫 (小有名气)
- 应助: 1 (幼儿园)
- 金币: 167
- 红花: 2
- 帖子: 67
- 在线: 17.1小时
- 虫号: 2197546
- 注册: 2012-12-20
- 专业: 控制理论与方法
8楼2014-01-18 15:01:59
9楼2015-10-03 16:26:30
10楼2015-10-03 16:28:10














回复此楼
Ann00