| ²é¿´: 1280 | »Ø¸´: 4 | ||
æä±ßÇÅCQUгæ (СÓÐÃûÆø)
|
[ÇóÖú]
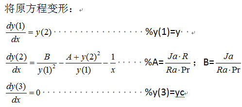
±ß½çÌõ¼þ΢·Ö·½³ÌÓÃbvp4cÇó½â£¬²Â²âÖµ²»Í¬Óв»Í¬ÇúÏß½âµÄÔÒòÒÔ¼°±ß½çÌõ¼þÃ÷ÏÔ²»·û
|
|
|
|
||
|
2Â¥2015-04-10 10:26:55
|
|
|
|
||
|
3Â¥2015-04-10 10:30:10
|
|
|
æä±ßÇÅCQUгæ (СÓÐÃûÆø)
|
||
|
4Â¥2015-04-10 11:59:54
|
|
|
æä±ßÇÅCQUгæ (СÓÐÃûÆø)
|
||
|
5Â¥2015-04-17 22:38:38
|
|













,\'-*r\');title(\'40 0 10\')
»Ø¸´´ËÂ¥
°ïæָµãϰÉ
10