版块导航
正在加载中...
客户端APP下载
论文辅导
申博辅导
登录
注册
帖子
帖子
用户
本版
应《网络安全法》要求,自2017年10月1日起,未进行实名认证将不得使用互联网跟帖服务。为保障您的帐号能够正常使用,请尽快对帐号进行手机号验证,感谢您的理解与支持!
24小时热门版块排行榜
>
论坛更新日志
(624)
>
虫友互识
(66)
>
论文道贺祈福
(38)
>
考博
(20)
>
导师招生
(19)
>
硕博家园
(14)
>
论文投稿
(10)
>
教师之家
(9)
>
公派出国
(8)
>
基金申请
(7)
>
考研
(6)
>
招聘信息布告栏
(5)
>
博后之家
(5)
>
文献求助
(3)
>
标准求助
(2)
>
标准与专利
(2)
小木虫论坛-学术科研互动平台
»
计算模拟区
»
分子模拟
»
LAMMPS/DL_POLY
»
lammps模拟屈曲过程中遇到的问题
6
1/1
返回列表
查看: 779 | 回复: 5
只看楼主
@他人
存档
新回复提醒
(忽略)
收藏
在APP中查看
好久不见-321
银虫
(正式写手)
应助: 8
(幼儿园)
金币: 451.1
散金: 1166
红花: 5
帖子: 802
在线: 196.1小时
虫号: 2953779
注册: 2014-02-03
性别: GG
专业: 固体力学
[
求助
]
lammps模拟屈曲过程中遇到的问题
已有1人参与
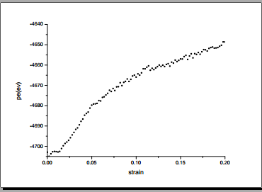
诸位,lammps模拟的bnnt的屈曲,在温度是300k时候的势能-应变图是这个:
,在0k的时候是这样的:
。不过在0k的情况下的图片是我想在300k的温度下得到的图片。哪位知道这个是什么
原因造成的?怎么改进?
回复此楼
» 猜你喜欢
AI 太可怕了,写基金时,提出想法,直接生成的文字比自己想得深远,还有科学性
已经有6人回复
有院领导为了换新车,用横向课题经费买了俩车
已经有9人回复
酰胺脱乙酰基
已经有13人回复
博士延得我,科研能力直往上蹿
已经有8人回复
同年申请2项不同项目,第1个项目里不写第2个项目的信息,可以吗
已经有4人回复
有时候真觉得大城市人没有县城人甚至个体户幸福
已经有10人回复
天津大学招2026.09的博士生,欢迎大家推荐交流(博导是本人)
已经有5人回复
遇见不省心的家人很难过
已经有22人回复
» 本主题相关价值贴推荐,对您同样有帮助:
lammps 势能问题
已经有9人回复
lammps模拟中如何定义一个区域并固定这个区域
已经有11人回复
lammps中LJ势能下单位问题
已经有5人回复
LAMMPS进行拉伸模拟的一些问题
已经有4人回复
lammps中如何实现两个模拟结果的整合
已经有5人回复
修改lammps程序的neighbor命令
已经有4人回复
求助LAMMPS两次运算结果不一致问题!
已经有11人回复
lammps中change_box命令的使用,无法将模拟体系放在模拟盒子中间位置 急求~!
已经有10人回复
lammps模拟纳米压痕
已经有9人回复
求助LAMMPS关于MSD计算的问题
已经有17人回复
关于lammps中某种atom个数的统计方法
已经有10人回复
lammps计算中出现原子距离太近现象
已经有11人回复
lammps中原子固定
已经有4人回复
LAMMPS并行计算的问题(cpu——time关系)
已经有17人回复
请教 XP下lammps的输出问题
已经有4人回复
lammps data file中水的H,O排列
已经有4人回复
关于用Lammps模拟Cu熔点的例子问题
已经有7人回复
lammps里面的pair_coeff设置问题
已经有3人回复
lammps的时间步长问题
已经有16人回复
【求助】lammps安装过程中,在安装fftw的过程中遇到问题
已经有8人回复
【讨论】编译lammps时Makefile的修改问题
已经有8人回复
【讨论】lammps中利用velocity命令无法控制住速度问题
已经有11人回复
【讨论】lammps中关于fix ave/spatial命令的输出问题
已经有4人回复
【求助】lammps中多元化合物的晶格创建问题
已经有14人回复
【求助】Lammps 多机并行的问题
已经有11人回复
1楼
2015-04-10 09:13:43
已阅
关注TA
给TA发消息
送TA红花
TA的回帖
好久不见-321
银虫
(正式写手)
应助: 8
(幼儿园)
金币: 451.1
散金: 1166
红花: 5
帖子: 802
在线: 196.1小时
虫号: 2953779
注册: 2014-02-03
性别: GG
专业: 固体力学
我想模拟的是300k的状况,但是图片1不合适,感觉图片2才是对的,但那个是我在低温下无意得到的。我想问的是有什么很好的控制方式吗?可以使得在300k的温度下得到和0k差不多的曲线。小弟很多不会,希望大神不吝赐教,越详细越好。拜谢诸位!
赞
一下
回复此楼
2楼
2015-04-10 09:17:40
已阅
关注TA
给TA发消息
送TA红花
TA的回帖
lx_PICO
铁虫
(正式写手)
应助: 91
(初中生)
金币: 59.8
散金: 1
红花: 15
帖子: 370
在线: 276.7小时
虫号: 2326738
注册: 2013-03-07
性别: GG
专业: 固体力学
【答案】应助回帖
★ ★ ★ ★ ★
感谢参与,应助指数 +1
好久不见-321: 金币+5,
★
有帮助
2015-04-10 19:55:09
为什么你感觉2才是对的呢?在温度高的时候,1.热能的扰动可能导致部分性质被掩盖掉;2.你在300K输出的时候是否做了平均?你的2图不过是比1少了第一个突降罢了,可能就是由于这两个原因导致的。
赞
一下
回复此楼
3楼
2015-04-10 17:04:35
已阅
关注TA
给TA发消息
送TA红花
TA的回帖
好久不见-321
银虫
(正式写手)
应助: 8
(幼儿园)
金币: 451.1
散金: 1166
红花: 5
帖子: 802
在线: 196.1小时
虫号: 2953779
注册: 2014-02-03
性别: GG
专业: 固体力学
引用回帖:
3楼
:
Originally posted by
lx_PICO
at 2015-04-10 17:04:35
为什么你感觉2才是对的呢?在温度高的时候,1.热能的扰动可能导致部分性质被掩盖掉;2.你在300K输出的时候是否做了平均?你的2图不过是比1少了第一个突降罢了,可能就是由于这两个原因导致的。
是啊 ,我也觉得是由于温度高的情况下造成部分性质没有凸显出来。所以,目前在重新按照低温的状况研究,因为我就是要凸显出在发生各个屈曲的阶段能量的突降过程。
赞
一下
回复此楼
4楼
2015-04-10 19:57:37
已阅
关注TA
给TA发消息
送TA红花
TA的回帖
lx_PICO
铁虫
(正式写手)
应助: 91
(初中生)
金币: 59.8
散金: 1
红花: 15
帖子: 370
在线: 276.7小时
虫号: 2326738
注册: 2013-03-07
性别: GG
专业: 固体力学
引用回帖:
4楼
:
Originally posted by
好久不见-321
at 2015-04-10 19:57:37
是啊 ,我也觉得是由于温度高的情况下造成部分性质没有凸显出来。所以,目前在重新按照低温的状况研究,因为我就是要凸显出在发生各个屈曲的阶段能量的突降过程。...
呵呵,你是哪个学校的?我们的专业方向是相同的,我们实验室也有一个在做屈曲,不过是用的有限元
赞
一下
回复此楼
5楼
2015-04-10 20:12:36
已阅
关注TA
给TA发消息
送TA红花
TA的回帖
好久不见-321
银虫
(正式写手)
应助: 8
(幼儿园)
金币: 451.1
散金: 1166
红花: 5
帖子: 802
在线: 196.1小时
虫号: 2953779
注册: 2014-02-03
性别: GG
专业: 固体力学
引用回帖:
5楼
:
Originally posted by
lx_PICO
at 2015-04-10 20:12:36
呵呵,你是哪个学校的?我们的专业方向是相同的,我们实验室也有一个在做屈曲,不过是用的有限元
...
我在江苏大学。以后有问题可以常交流,还希望你多多帮助。
赞
一下
回复此楼
6楼
2015-04-12 09:29:01
已阅
关注TA
给TA发消息
送TA红花
TA的回帖
相关版块跳转
第一性原理
量子化学
计算模拟
分子模拟
仿真模拟
程序语言
我要订阅楼主
好久不见-321
的主题更新
6
1/1
返回列表
信息提示
关闭
请填处理意见
关闭
确定