Znn3bq.jpeg
²é¿´: 1037  |  »Ø¸´: 7

ËÕ¸ñ˹̹

Í­³æ (³õÈëÎÄ̳)

[ÇóÖú] Çó½â΢·Ö·½³Ì ÒÑÓÐ2È˲ÎÓë

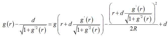
Çó½âÕâ¸ö¹ØÓÚg(r)µÄ΢·Ö·½³Ì£¬Ê½ÖÐdÓëR¶¼Êdz£Êý¡£
µÈʽÓұߵÚÒ»ÏîÊÇÒ»¸öǶÌ׺¯Êý£¬²»ÖªµÀÔõô½â¾ö£¬Çë´óÉñ°ï棬д³öÏêϸµÄÇó½â·½·¨£¬¶àл£¡

Çó½â΢·Ö·½³Ì
΢·Ö·½³Ì.png
»Ø¸´´ËÂ¥

» ²ÂÄãϲ»¶

» ±¾Ö÷ÌâÏà¹Ø¼ÛÖµÌùÍÆ¼ö£¬¶ÔÄúͬÑùÓаïÖú:

ÒÑÔÄ   »Ø¸´´ËÂ¥   ¹Ø×¢TA ¸øTA·¢ÏûÏ¢ ËÍTAºì»¨ TAµÄ»ØÌû

hylpy

ר¼Ò¹ËÎÊ (ÖªÃû×÷¼Ò)

††ÂïÄØ°Èßä…Ë

¡¾´ð°¸¡¿Ó¦Öú»ØÌû

¸Ðл²ÎÓ룬ӦÖúÖ¸Êý +1
Õâ¸öÊDz»Êǽ̳ÌÉϵÄ?
·²Ê£¬Ò»Ð¦¶ø¹ý¡£¡£¡£¡£¡£¡£
2Â¥2015-01-26 08:25:48
ÒÑÔÄ   »Ø¸´´ËÂ¥   ¹Ø×¢TA ¸øTA·¢ÏûÏ¢ ËÍTAºì»¨ TAµÄ»ØÌû

ËÕ¸ñ˹̹

Í­³æ (³õÈëÎÄ̳)

ÒýÓûØÌû:
2Â¥: Originally posted by hylpy at 2015-01-26 08:25:48
Õâ¸öÊDz»Êǽ̳ÌÉϵÄ?

½Ì³Ì£¿Ê²Ã´½Ì³ÌÉϵģ¿Õâ¸öÊÇÎÒÒÀ¾ÝÊýѧģÐÍÍÆµ¼³öÀ´µÄ£¬ÊÇÎÒ×ö½¨Ä£Ê±Óöµ½µÄÎÊÌâ¡£
3Â¥2015-01-26 16:51:30
ÒÑÔÄ   »Ø¸´´ËÂ¥   ¹Ø×¢TA ¸øTA·¢ÏûÏ¢ ËÍTAºì»¨ TAµÄ»ØÌû

peterflyer

ľ³æÖ®Íõ (ÎÄѧ̩¶·)

peterflyer


¡¾´ð°¸¡¿Ó¦Öú»ØÌû

¸Ðл²ÎÓ룬ӦÖúÖ¸Êý +1
ÈçÓпÉÄÜÓ¦¸Ã¶Ô·½³Ì½øÐл¯¼ò£¬±ÈÈçÈç¹ûg'(r)<<1ºÍd*g'(r)<<rµÄ»°£¬Ô­·½³Ì¾Í¿É»¯¼òΪ£ºg(r) - d=g£¨r)-r^2/(2*R) + d¡£
   ¾ÍÊǾ­µäµÄÁ¦Ñ§ÖÐÒ²ÓÐÕâÑù´¦ÀíµÄÀý×Ó¡£Èçµ¥°Ú΢·Ö·½³ÌµÄÇó½â¾ÍÊǼÙÉè¦È<5¡ã¡£ÕâÑù£¬Sin¦È¡Ö¦È¡£Èç´Ë¾Í½«·ÇÏßÐÔ·À³Ç¸Ä³ÆÏßÐÔÇó½âÁË¡£
4Â¥2015-01-26 17:40:49
ÒÑÔÄ   »Ø¸´´ËÂ¥   ¹Ø×¢TA ¸øTA·¢ÏûÏ¢ ËÍTAºì»¨ TAµÄ»ØÌû

ËÕ¸ñ˹̹

Í­³æ (³õÈëÎÄ̳)

ÒýÓûØÌû:
4Â¥: Originally posted by peterflyer at 2015-01-26 17:40:49
ÈçÓпÉÄÜÓ¦¸Ã¶Ô·½³Ì½øÐл¯¼ò£¬±ÈÈçÈç¹ûg'(r)<<1ºÍd*g'(r)<<rµÄ»°£¬Ô­·½³Ì¾Í¿É»¯¼òΪ£ºg(r) - d=g£¨r)-r^2/(2*R) + d¡£
   ¾ÍÊǾ­µäµÄÁ¦Ñ§ÖÐÒ²ÓÐÕâÑù´¦ÀíµÄÀý×Ó¡£Èçµ¥°Ú΢·Ö·½³ÌµÄÇó½â¾ÍÊǼÙÉè¦È<5¡ã ...

°´ÕÕÕâÖÖ¼ò»¯·½·¨£¬g(r) - d=g£¨r)-r^2/(2*R) + d£¬½øÒ»²½ÕûÀíµÃµ½
2d-r^2/(2*R)=0£¬Õâ¸ö΢·Ö·½³ÌµÄ½âÊÍÒ»ÌõÖ±Ïߣ¿ºÃÏñ²»¶Ô°É¡£
5Â¥2015-01-27 15:48:25
ÒÑÔÄ   »Ø¸´´ËÂ¥   ¹Ø×¢TA ¸øTA·¢ÏûÏ¢ ËÍTAºì»¨ TAµÄ»ØÌû

ËÕ¸ñ˹̹

Í­³æ (³õÈëÎÄ̳)

×Ô¶¥£¬¼ÌÐøÑ°Çó½â´ð
6Â¥2015-02-04 11:02:44
ÒÑÔÄ   »Ø¸´´ËÂ¥   ¹Ø×¢TA ¸øTA·¢ÏûÏ¢ ËÍTAºì»¨ TAµÄ»ØÌû

ËÕ¸ñ˹̹

Í­³æ (³õÈëÎÄ̳)

¶¥£¬»¹ÊÇûÓнâ¾ö£¡
7Â¥2015-03-10 09:24:34
ÒÑÔÄ   »Ø¸´´ËÂ¥   ¹Ø×¢TA ¸øTA·¢ÏûÏ¢ ËÍTAºì»¨ TAµÄ»ØÌû

ËÕ¸ñ˹̹

Í­³æ (³õÈëÎÄ̳)

¼ÌÐø£¡
8Â¥2015-03-11 16:50:21
ÒÑÔÄ   »Ø¸´´ËÂ¥   ¹Ø×¢TA ¸øTA·¢ÏûÏ¢ ËÍTAºì»¨ TAµÄ»ØÌû
Ïà¹Ø°æ¿éÌø×ª ÎÒÒª¶©ÔÄÂ¥Ö÷ ËÕ¸ñ˹̹ µÄÖ÷Ìâ¸üÐÂ
×î¾ßÈËÆøÈÈÌûÍÆ¼ö [²é¿´È«²¿] ×÷Õß »Ø/¿´ ×îºó·¢±í
[»ù½ðÉêÇë] ɽ¶«Ê¡»ù½ð2026 +4 jerry681 2026-04-08 5/250 2026-04-11 13:59 by laobibibi
[¿¼ÑÐ] 295Çóµ÷¼Á +3 ¹ðÇï¶þÊ®°Ë 2026-04-05 5/250 2026-04-11 11:36 by zhq0425
[¿¼ÑÐ] 086000µ÷¼Á +5 Ê®Æßsa 2026-04-07 5/250 2026-04-11 10:38 by ×ÏêØ×ÏÆå
[¿¼ÑÐ] 288Çóµ÷¼Á +15 ´úfish 2026-04-09 16/800 2026-04-11 10:26 by wwj2530616
[¿¼ÑÐ] 295Çóµ÷¼Á +5 ?ÒªÉϰ¶? 2026-04-05 6/300 2026-04-11 08:27 by zhq0425
[¿¼ÑÐ] ¼ª´ó¼ÆËã»ú¼¼Êõ331·Ö£¬Ó¢ÓïÁù¼¶£¬Çóµ÷¼Á +3 ·å·å021116 2026-04-09 3/150 2026-04-10 20:01 by chemisry
[¿¼ÑÐ] ²ÄÁϹ¤³Ì302·ÖÇóµ÷¼Á +18 zyxÉϰ¶£¡ 2026-04-04 18/900 2026-04-10 10:07 by 314126402
[¿¼ÑÐ] ÉúÎïÓëÒ½Ò©273Çóµ÷¼Á +18 ÀóÌâÄÏǽ 2026-04-05 19/950 2026-04-10 08:14 by kangsm
[¿¼ÑÐ] ÉúÎïѧ308·ÖÇóµ÷¼Á£¨Ò»Ö¾Ô¸»ª¶«Ê¦´ó£© +13 ÏàÐűػá¹ââÍòÕ 2026-04-06 16/800 2026-04-09 13:54 by ÐìÁ¼°×ü´óÏÀ
[¿¼ÑÐ] 307·Ö²ÄÁÏרҵÇóµ÷¼Á +12 Hllºú 2026-04-05 12/600 2026-04-08 16:33 by luoyongfeng
[¿¼ÑÐ] 283Çóµ÷¼Á +19 A child 2026-04-04 19/950 2026-04-08 14:26 by xingguangj
[¿¼ÑÐ] 338Çóµ÷¼Á +8 wxygxsaaaaa 2026-04-06 8/400 2026-04-08 06:58 by Î޼ʵIJÝÔ­
[¿¼ÑÐ] µ÷¼ÁÇóÖú£¨ÉúÎïÓëÒ½Ò©£© +6 @6952 2026-04-06 6/300 2026-04-07 23:52 by lys0704
[¿¼ÑÐ] 323Çóµ÷¼Á +3 ÁÖzlu 2026-04-07 4/200 2026-04-07 23:21 by lbsjt
[¿¼ÑÐ] 344Çóµ÷¼Á +11 κ×Óper 2026-04-07 11/550 2026-04-07 23:01 by JourneyLucky
[¿¼ÑÐ] 331Çóµ÷¼Á +5 ÕÅÔªÒ» 2026-04-07 6/300 2026-04-07 22:13 by hemengdong
[¿¼ÑÐ] ÉúÎïѧ363µ÷¼ÁÇóÖú +7 fanzhang6666 2026-04-06 9/450 2026-04-07 17:37 by lijunpoly
[¿¼ÑÐ] ¿¼Ñе÷¼Á +7 15615482637 2026-04-04 7/350 2026-04-06 22:56 by chenzhimin
[¿¼ÑÐ] ¿É¿çרҵµ÷¼Á +3 ÖÜµÄµÃµØ 2026-04-04 6/300 2026-04-04 22:21 by barlinike
[¿¼ÑÐ] 325Çóµ÷¼Á +4 ´º·ç²»½èÒâ 2026-04-04 4/200 2026-04-04 22:08 by à£à£à£0119
ÐÅÏ¢Ìáʾ
ÇëÌî´¦ÀíÒâ¼û