| ²é¿´: 7856 | »Ø¸´: 8 | |||
| ±¾Ìû²úÉú 1 ¸ö ÊýѧEPI £¬µã»÷ÕâÀï½øÐв鿴 | |||
yfp1123½ð³æ (ÕýʽдÊÖ)
º£·ç
|
[ÇóÖú]
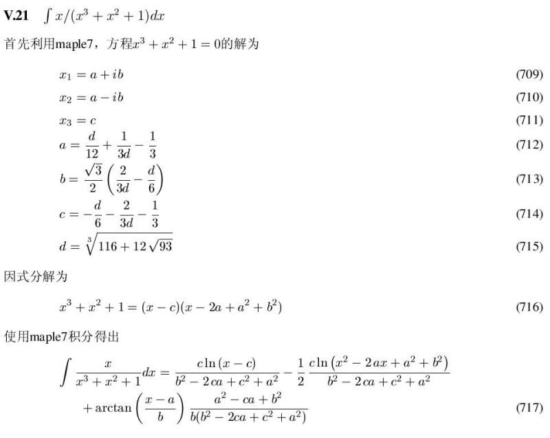
ÇóÖú½â²»¶¨»ý·Ö¡Òx/(x^3+x^2+1) dx ÒÑÓÐ2È˲ÎÓë
|
||
| ÇóÖú£¬Ð»Ð»À²¡£ |
» ÊÕ¼±¾ÌûµÄÌÔÌûר¼ÍƼö
ÊýѧÎÊÌ⼯½õ |
» ²ÂÄãϲ»¶
ҩѧÇóµ÷¼Á
ÒѾÓÐ8È˻ظ´
296Çóµ÷¼Á
ÒѾÓÐ10È˻ظ´
¸´ÊÔµ÷¼Á
ÒѾÓÐ21È˻ظ´
Çóµ÷¼ÁѧУ
ÒѾÓÐ13È˻ظ´
291 Çóµ÷¼Á
ÒѾÓÐ39È˻ظ´
271Çóµ÷¼Á
ÒѾÓÐ30È˻ظ´
²ÄÁÏÀà284µ÷¼Á
ÒѾÓÐ50È˻ظ´
291·Öµ÷¼Á
ÒѾÓÐ9È˻ظ´
µ÷¼ÁÇóÊÕÁô
ÒѾÓÐ34È˻ظ´
22408 312Çóµ÷¼Á
ÒѾÓÐ17È˻ظ´
» ±¾Ö÷ÌâÏà¹Ø¼ÛÖµÌùÍÆ¼ö£¬¶ÔÄúͬÑùÓаïÖú:
Èý½Çº¯ÊýµÄ¶¨»ý·Ö
ÒѾÓÐ16È˻ظ´
Ò»µÀ¿ÉÄÜÓ붨»ý·Ö¶¨ÒåÓйصÄÌâÄ¿ ²»ÖªµÀÔõô´¦ÀíºÍʽÖеıí´ïʽ
ÒѾÓÐ7È˻ظ´
Ò» ¸ö¹ØÓÚe Ö¸ÊýµÄ»ý·Ö
ÒѾÓÐ5È˻ظ´
ÇóÖúÒ»µÀ»ý·Ö¼ÆËãÇëÎÊÎÒ´íÔÚÄÄÀï
ÒѾÓÐ15È˻ظ´
ÇóÎÊ£¬ ¹ØÓÚ¶¨»ý·ÖºÍ²»¶¨»ý·Ö Èí¼þ¼ÆËã
ÒѾÓÐ3È˻ظ´
Çë´óʦ°ïæ½â¾öÒ»²»¶¨»ý·ÖÎÊÌ⣬лл£¬¼±Óã¡
ÒѾÓÐ6È˻ظ´
ÇóÒ»¸ö¸´º¯Êý¶¨»ý·Ö³ÌÐò
ÒѾÓÐ6È˻ظ´
ÇóÖú΢»ý·Ö¼ÆËã
ÒѾÓÐ9È˻ظ´
ÇóÖúÒ»¸ö¹ØÓÚ¼ÆËã´Å×èµÄ¶¨»ý·Ö
ÒѾÓÐ4È˻ظ´
¡Òe^-x2dxÔõôÇó°¡£¬£¬¼±¼±¼±¼±¼±¼±£¿£¿£¿£¿£¿
ÒѾÓÐ28È˻ظ´
¼±Çóe^(At)µÄ¶¨»ý·Ömatlab³ÌÐò
ÒѾÓÐ11È˻ظ´
[ÇóÖú]±ä½ØÃæÁº¼ÆËãÖеõ½¸´ÊýµÄÍ侨
ÒѾÓÐ3È˻ظ´
Ò»½×΢·Ö·½³ÌµÄ½âÎö½â(²®Å¬Àû·½³Ì´ø³£ÊýÏî)
ÒѾÓÐ12È˻ظ´
ÇóÖúÒ»µÀ¶¨»ý·Ö
ÒѾÓÐ12È˻ظ´
Çó½âÒ»µÀ²»¶¨»ý·Ö
ÒѾÓÐ8È˻ظ´
ËãÒ»¸öË«ÖØ»ý·Ö(By hand)
ÒѾÓÐ8È˻ظ´
ÇóÖú¡ª¡ªÇó½â³£ÏµÊý¶þ´Î΢·Ö·½³Ì
ÒѾÓÐ6È˻ظ´
£¨x^2£©.exp(-ax^2)dxÏÂÏÞΪ0£¬ÉÏÏÞΪbÈçºÎ»ý·Ö£¿Çó¸ßÊÖÖ¸µã
ÒѾÓÐ6È˻ظ´
ÇóÖú¶¨»ý·Ö ¡Òe^(-x^2)dx
ÒѾÓÐ8È˻ظ´
¡¾ÇóÖú¡¿ÓÐÁ˽âDX-2000XÉäÏßÑÜÉäÒÇÖ¯¹¹²â½Ç¼ÆµÄû£¬Ïë×öÈ¡Ïò²âÊÔ
ÒѾÓÐ5È˻ظ´
¡¾ÇóÖú¡¿Çódy/dx
ÒѾÓÐ6È˻ظ´
pippi6
Ìú¸Ëľ³æ (ÖøÃûдÊÖ)
¹¤³ÌºÍ¿ÆÑ§ÊýÖµ¼ÆËã×Éѯ
- ÊýѧEPI: 6
- Ó¦Öú: 413 (˶ʿ)
- ¹ó±ö: 0.002
- ½ð±Ò: 7116.5
- É¢½ð: 15
- ºì»¨: 63
- Ìû×Ó: 1639
- ÔÚÏß: 798.9Сʱ
- ³æºÅ: 2469437
- ×¢²á: 2013-05-14
- רҵ: ¼ÆËãÊýѧÓë¿ÆÑ§¹¤³Ì¼ÆËã
¡¾´ð°¸¡¿Ó¦Öú»ØÌû
¡ï ¡ï ¡ï ¡ï ¡ï ¡ï ¡ï ¡ï ¡ï ¡ï
feixiaolin: ½ð±Ò+10 2014-12-31 16:48:05
feixiaolin: ÊýѧEPI+1, http://emuch.net/bbs/viewthread.php?tid=8740247&fpage=1 ½±Àø 2015-04-01 18:53:07
feixiaolin: ½ð±Ò+10 2014-12-31 16:48:05
feixiaolin: ÊýѧEPI+1, http://emuch.net/bbs/viewthread.php?tid=8740247&fpage=1 ½±Àø 2015-04-01 18:53:07
6Â¥2014-12-31 15:45:04
hank612
ÖÁ×ðľ³æ (ÖøÃûдÊÖ)
- ÊýѧEPI: 14
- Ó¦Öú: 225 (´óѧÉú)
- ½ð±Ò: 14270.6
- É¢½ð: 1055
- ºì»¨: 95
- Ìû×Ó: 1526
- ÔÚÏß: 1375.8Сʱ
- ³æºÅ: 2530333
- ×¢²á: 2013-07-03
- ÐÔ±ð: GG
- רҵ: ÀíÂۺͼÆË㻯ѧ
¡¾´ð°¸¡¿Ó¦Öú»ØÌû
¡ï ¡ï ¡ï ¡ï ¡ï ¡ï ¡ï ¡ï ¡ï ¡ï
¸Ðл²ÎÓ룬ӦÖúÖ¸Êý +1
yfp1123(feixiaolin´ú·¢): ½ð±Ò+10 2014-12-31 13:21:30
¸Ðл²ÎÓ룬ӦÖúÖ¸Êý +1
yfp1123(feixiaolin´ú·¢): ½ð±Ò+10 2014-12-31 13:21:30

2Â¥2014-12-31 11:12:06
pippi6
Ìú¸Ëľ³æ (ÖøÃûдÊÖ)
¹¤³ÌºÍ¿ÆÑ§ÊýÖµ¼ÆËã×Éѯ
- ÊýѧEPI: 6
- Ó¦Öú: 413 (˶ʿ)
- ¹ó±ö: 0.002
- ½ð±Ò: 7116.5
- É¢½ð: 15
- ºì»¨: 63
- Ìû×Ó: 1639
- ÔÚÏß: 798.9Сʱ
- ³æºÅ: 2469437
- ×¢²á: 2013-05-14
- רҵ: ¼ÆËãÊýѧÓë¿ÆÑ§¹¤³Ì¼ÆËã
3Â¥2014-12-31 11:53:20
yfp1123
½ð³æ (ÕýʽдÊÖ)
º£·ç
- Ó¦Öú: 5 (Ó×¶ùÔ°)
- ½ð±Ò: 910.4
- É¢½ð: 993
- ºì»¨: 1
- Ìû×Ó: 872
- ÔÚÏß: 752.6Сʱ
- ³æºÅ: 1087911
- ×¢²á: 2010-09-02
- רҵ: Ô×ӺͷÖ×ÓÎïÀí
4Â¥2014-12-31 12:53:14
yfp1123
½ð³æ (ÕýʽдÊÖ)
º£·ç
- Ó¦Öú: 5 (Ó×¶ùÔ°)
- ½ð±Ò: 910.4
- É¢½ð: 993
- ºì»¨: 1
- Ìû×Ó: 872
- ÔÚÏß: 752.6Сʱ
- ³æºÅ: 1087911
- ×¢²á: 2010-09-02
- רҵ: Ô×ӺͷÖ×ÓÎïÀí
5Â¥2014-12-31 13:15:16
balang
½ð³æ (ÕýʽдÊÖ)
- Ó¦Öú: 4 (Ó×¶ùÔ°)
- ½ð±Ò: 1472.8
- É¢½ð: 220
- ºì»¨: 4
- Ìû×Ó: 555
- ÔÚÏß: 219.3Сʱ
- ³æºÅ: 1179030
- ×¢²á: 2010-12-28
- רҵ: ÎïÀíµç×Óѧ
7Â¥2014-12-31 17:08:01
·çÎï±¾Îá¼Ò
ľ³æ (ÕýʽдÊÖ)
- Ó¦Öú: 1 (Ó×¶ùÔ°)
- ½ð±Ò: 4200
- É¢½ð: 150
- ºì»¨: 4
- Ìû×Ó: 419
- ÔÚÏß: 65.1Сʱ
- ³æºÅ: 2421600
- ×¢²á: 2013-04-17
- ÐÔ±ð: MM

8Â¥2014-12-31 23:03:59
yfp1123
½ð³æ (ÕýʽдÊÖ)
º£·ç
- Ó¦Öú: 5 (Ó×¶ùÔ°)
- ½ð±Ò: 910.4
- É¢½ð: 993
- ºì»¨: 1
- Ìû×Ó: 872
- ÔÚÏß: 752.6Сʱ
- ³æºÅ: 1087911
- ×¢²á: 2010-09-02
- רҵ: Ô×ӺͷÖ×ÓÎïÀí
9Â¥2015-01-02 20:44:34














»Ø¸´´ËÂ¥