| 查看: 1664 | 回复: 35 | |||
[求助]
求解优化方程 已有1人参与
|
|||
|
求解一优化方程:x=argmin||xA-B||22+d||deltx||22 22为二范数的平方,deltx表示x的梯度,A和B各位图像矩阵,d为一参数,求解满足xA=B,且x最平滑,的解3。 新虫,钱很少。哪位看到的网友给以指点??跪谢。 |
» 收录本帖的淘帖专辑推荐
五味杂陈 |
» 猜你喜欢
什么是人一生最重要的?
已经有6人回复
为什么中国大学工科教授们水了那么多所谓的顶会顶刊,但还是做不出宇树机器人?
已经有11人回复
网上报道青年教师午睡中猝死、熬夜猝死的越来越多,主要哪些原因引起的?
已经有9人回复
【博士招生】太原理工大学2026化工博士
已经有5人回复
280求调剂
已经有3人回复
面上可以超过30页吧?
已经有11人回复
版面费该交吗
已经有15人回复
体制内长辈说体制内绝大部分一辈子在底层,如同你们一样大部分普通教师忙且收入低
已经有18人回复
» 本主题相关价值贴推荐,对您同样有帮助:
MATLAB解非线性方程组
已经有9人回复
有方程,怎么求多元回归方程的参数
已经有12人回复
求助——求解三元二次多项式方程组
已经有9人回复
求回归方程参数的最优化算法matlab代码
已经有17人回复
Matlab多元高次方程组的求解问题
已经有19人回复
微分方程求解(通解中含hypergeom函数)
已经有17人回复
求微分方程 最大值问题
已经有4人回复
偏微分方程求解!
已经有4人回复
求助,计算方程最大值
已经有5人回复
Matlab数值求解二阶常微分方程
已经有9人回复
怎样将两个参数方程化为一个普通方程。
已经有11人回复
求教matlab线性优化求最小值的问题
已经有7人回复
解带参数方程,参数在变
已经有6人回复
多变量齐次方程解
已经有4人回复
MATLAB新手求解方程
已经有8人回复
请教响应面优化方程问题
已经有13人回复
matlab求解方程中的参数
已经有21人回复
拜求,这种带参数的方程怎么解比较好?
已经有4人回复
一阶微分方程求解,并优化参数值
已经有14人回复
求助matlab求解三角函数方程
已经有9人回复
求解扩散方程问题
已经有9人回复
【求助】matlab 求解微分方程中的未知参数
已经有20人回复
【求助】向各位大侠求助matlab求解微分方程组遇到的一个问题
已经有21人回复
【求助】复超越方程的解法
已经有19人回复
【求助】求教matlab解非线性方程组
已经有9人回复

3楼2014-10-11 06:47:45
yongcailiu
金虫 (小有名气)
- 应助: 63 (初中生)
- 金币: 2283.9
- 红花: 10
- 帖子: 181
- 在线: 250.4小时
- 虫号: 1406563
- 注册: 2011-09-18
- 性别: GG
- 专业: 计算数学与科学工程计算
19楼2014-10-16 14:57:33
yongcailiu
金虫 (小有名气)
- 应助: 63 (初中生)
- 金币: 2283.9
- 红花: 10
- 帖子: 181
- 在线: 250.4小时
- 虫号: 1406563
- 注册: 2011-09-18
- 性别: GG
- 专业: 计算数学与科学工程计算
23楼2014-10-22 15:38:47
2楼2014-10-10 20:07:16
4楼2014-10-11 09:18:22
5楼2014-10-11 09:19:26
6楼2014-10-11 09:49:23
yongcailiu
金虫 (小有名气)
- 应助: 63 (初中生)
- 金币: 2283.9
- 红花: 10
- 帖子: 181
- 在线: 250.4小时
- 虫号: 1406563
- 注册: 2011-09-18
- 性别: GG
- 专业: 计算数学与科学工程计算
7楼2014-10-11 10:28:24
8楼2014-10-11 11:28:16
yongcailiu
金虫 (小有名气)
- 应助: 63 (初中生)
- 金币: 2283.9
- 红花: 10
- 帖子: 181
- 在线: 250.4小时
- 虫号: 1406563
- 注册: 2011-09-18
- 性别: GG
- 专业: 计算数学与科学工程计算
【答案】应助回帖
★ ★ ★ ★ ★
rzsyh: 金币+5, ★★★很有帮助, 非常感谢 2014-10-13 09:10:53
rzsyh: 金币+5, ★★★很有帮助, 非常感谢 2014-10-13 09:10:53
|
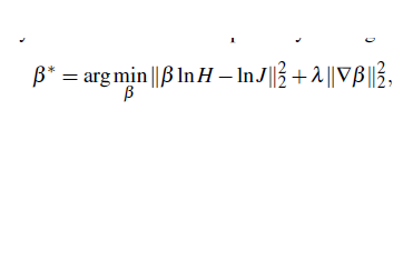
求解极值问题 $\min_\beta \|\beta \ln H-\ln J\|_2^2+\lambda \|\nabla \beta\|_2^2$ 对$\beta$求导,并令其等于零,即 $2\ln H (\beta \ln H-\ln J)+2\lambda \nabla^{*}(\nabla \beta) = 0$ 消去系数,并利用关系$\nabla^{*}\nabla=-\triangle$,得到 $\ln H (\beta \ln H-\ln J)-\lambda \triangle \beta = 0$ 接着就是求解关于$\beta$的方程组了。推导过程可参见《Total Variation Denoising using Split Bregman》一文中(46)-(47)式,具体符号的离散计算参见原文。 小木虫里贴图我不会,上面是latex里的整理内容。 |
9楼2014-10-11 15:26:25

10楼2014-10-12 10:51:06













回复此楼