| ²é¿´: 1800 | »Ø¸´: 9 | ||||
zhangluyoaÒø³æ (³õÈëÎÄ̳)
|
[ÇóÖú]
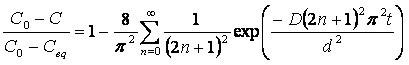
Çó½âÀ©É¢·½³ÌÎÊÌâ
|
|||
|
|
||||
ya634984094ͳæ (СÓÐÃûÆø)
|
||||
|
2Â¥2012-04-03 10:54:59
|
|
|||
zhangluyoaÒø³æ (³õÈëÎÄ̳)
|
||||
|
3Â¥2012-04-03 11:35:39
|
|
|||
ya634984094ͳæ (СÓÐÃûÆø)
|
||||
|
4Â¥2012-04-03 12:34:11
|
|
|||
zhangluyoaÒø³æ (³õÈëÎÄ̳)
|
||||
|
5Â¥2012-04-03 14:58:46
|
|
|||
dbb627ÈÙÓþ°æÖ÷ (ÖøÃûдÊÖ)
|
¡¾´ð°¸¡¿Ó¦Öú»ØÌû
¡ï ¡ï ¡ï ¡ï ¡ï ¡ï ¡ï
¸Ðл²ÎÓ룬ӦÖúÖ¸Êý +1 ³ôË®¹µ: ½ð±Ò+3, лл½»Á÷~~ 2012-04-04 11:15:22 zhangluyoa: ½ð±Ò+4, ¡ïÓаïÖú 2012-04-11 16:35:41
|
|||
![]() |
||||
|
6Â¥2012-04-03 17:56:51
|
|
|||
dbb627ÈÙÓþ°æÖ÷ (ÖøÃûдÊÖ)
|
||||
![]() |
||||
|
7Â¥2012-04-03 17:58:17
|
|
|||
zhangluyoaÒø³æ (³õÈëÎÄ̳)
|
||||
|
8Â¥2012-04-04 19:08:11
|
|
|||
luyao_zhangÒø³æ (³õÈëÎÄ̳)
|
¡¾´ð°¸¡¿Ó¦Öú»ØÌû
¡ï ¡ï ¡ï ¡ï ¡ï ¡ï ¡ï ¡ï ¡ï ¡ï ¡ï ¡ï ¡ï ¡ï ¡ï ¡ï ¡ï ¡ï ¡ï ¡ï ¡ï ¡ï ¡ï ¡ï ¡ï ¡ï ¡ï ¡ï ¡ï ¡ï ¡ï ¡ï ¡ï ¡ï ¡ï ¡ï ¡ï ¡ï ¡ï ¡ï ¡ï ¡ï ¡ï ¡ï ¡ï ¡ï
zhangluyoa: ½ð±Ò+44, ¡ï¡ï¡ï¡ï¡ï×î¼Ñ´ð°¸, ÖÕÓÚ½â¾öÁË 2013-07-16 17:35:01 xiegangmai: ½ð±Ò+2, лл²ÎÓ룡 2013-07-24 21:03:08
|
|||
![]() |
||||
|
9Â¥2013-07-16 17:34:30
|
|
|||
1657956529гæ (³õÈëÎÄ̳)
|
||||
|
10Â¥2016-11-22 18:58:42
|
|














»Ø¸´´ËÂ¥

