| 查看: 1428 | 回复: 8 | |||
[求助]
数列通项公式的问题 已有2人参与
|
|
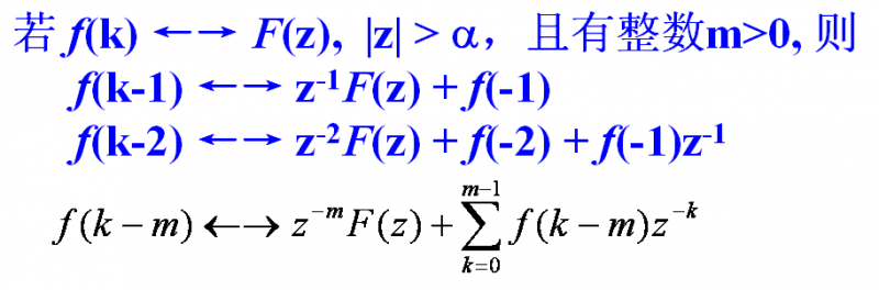
求数列通项公式的问题: 第n项等于前六项的均值: x(n)={x(n-1)+x(n-2)+x(n-3)+x(n-4)x(n-5)+x(n-6)}/6 并且满足如下条件: x(0)=1,x(-1)=x(-2)=...x(-6)=0 请问如何用z变换怎么求出通项公式?或者其他方法也可以 |
» 猜你喜欢
071000生物学调剂
已经有3人回复
085600材料与化工301分求调剂院校
已经有5人回复
081700,311,求调剂
已经有15人回复
一志愿北京化工085600 310分求调剂
已经有18人回复
材料与化工371求调剂
已经有14人回复
336材料与化工085600求调剂
已经有7人回复
材料334求调剂
已经有18人回复
331求调剂
已经有8人回复
332求调剂
已经有17人回复
一志愿南京航空航天大学 材料与化工329分求调剂
已经有4人回复
» 本主题相关价值贴推荐,对您同样有帮助:
求助,二阶数列求通项
已经有10人回复
关于差分递推的一个习题
已经有21人回复
求教一数列通项公式
已经有19人回复
(阶乘)数列求和
已经有7人回复
二阶变系数差分方程
已经有11人回复
二阶变系数线性方程 求助递推数列通项求解
已经有7人回复
毕设,数学相关专业,求指导!
已经有18人回复
高数中求极限的16种方法 希望对大家的学习有用
已经有23人回复
【致H兄】数列题的万能多项式拟合求法
已经有28人回复
Project Euler 48 欧拉工程 48 题
已经有30人回复
Euler 工程 第廿八题:旋转矩阵对角线的和
已经有6人回复
Euler 工程 第廿六题:最长的循环节
已经有9人回复
Euler 工程 第二题:Fibonacci数列中小于4百万的偶数的和
已经有8人回复
feixiaolin
荣誉版主 (文坛精英)
-

专家经验: +518 - 应助: 942 (博后)
- 贵宾: 1.275
- 金币: 3880
- 散金: 58785
- 红花: 532
- 沙发: 11
- 帖子: 24215
- 在线: 2601.8小时
- 虫号: 2139575
- 注册: 2012-11-21
- 专业: 光学信息获取与处理
- 管辖: 数学
2楼2014-09-17 19:34:41
Edstrayer
版主 (著名写手)
方寸斗室小天地正气迷漫大世界
- 数学EPI: 7
- 应助: 157 (高中生)
- 贵宾: 0.927
- 金币: 9349.6
- 散金: 4503
- 红花: 77
- 沙发: 2
- 帖子: 2745
- 在线: 1465.6小时
- 虫号: 3086598
- 注册: 2014-03-25
- 管辖: 数学

3楼2014-09-17 23:47:18
4楼2014-09-18 00:05:56
5楼2014-09-18 00:07:04
Edstrayer
版主 (著名写手)
方寸斗室小天地正气迷漫大世界
- 数学EPI: 7
- 应助: 157 (高中生)
- 贵宾: 0.927
- 金币: 9349.6
- 散金: 4503
- 红花: 77
- 沙发: 2
- 帖子: 2745
- 在线: 1465.6小时
- 虫号: 3086598
- 注册: 2014-03-25
- 管辖: 数学

6楼2014-09-18 00:21:56
feixiaolin
荣誉版主 (文坛精英)
-

专家经验: +518 - 应助: 942 (博后)
- 贵宾: 1.275
- 金币: 3880
- 散金: 58785
- 红花: 532
- 沙发: 11
- 帖子: 24215
- 在线: 2601.8小时
- 虫号: 2139575
- 注册: 2012-11-21
- 专业: 光学信息获取与处理
- 管辖: 数学
7楼2014-09-18 07:23:26
8楼2014-09-18 10:46:07
feixiaolin
荣誉版主 (文坛精英)
-

专家经验: +518 - 应助: 942 (博后)
- 贵宾: 1.275
- 金币: 3880
- 散金: 58785
- 红花: 532
- 沙发: 11
- 帖子: 24215
- 在线: 2601.8小时
- 虫号: 2139575
- 注册: 2012-11-21
- 专业: 光学信息获取与处理
- 管辖: 数学
9楼2014-09-18 13:49:19














回复此楼