| 查看: 4237 | 回复: 15 | |||
shiyu_xueshu新虫 (小有名气)
|
[求助]
掺杂后DOS图解释,急求 已有2人参与
|
||
|
各位大侠: 之前我也曾发表过一个类似的贴子,结果没有人回复,也不知道是肿么回事?我是用VASP对Fe2O3中的间隙H掺杂进行研究,掺杂后利用origin画出来的DOS图如下图所示,不知道怎么解释费米面附近的变化啊!急求比较懂的高人帮忙解答一下,我自己也在尽力的寻找解决办法。多谢! 超胞对比图1.jpg |
» 收录本帖的淘帖专辑推荐
模拟,理论 |
» 猜你喜欢
一志愿南京航空航天大学 材料与化工329分求调剂
已经有7人回复
一志愿C9的化学工程(085602) 340分,感觉校内调剂无望,求调剂
已经有12人回复
312求调剂
已经有4人回复
材料专硕322
已经有9人回复
求调剂
已经有7人回复
085600材料与化工301分求调剂院校
已经有8人回复
一志愿 江南大学 085602 化工专硕 338分求调剂
已经有14人回复
070300化学学硕311分求调剂
已经有13人回复
材料调剂
已经有9人回复
一志愿河北工业大学材料工程,初试344求专硕调剂
已经有4人回复
» 本主题相关价值贴推荐,对您同样有帮助:
如何用态密度图看带隙
已经有4人回复
导带位置太高电子导不上去?怎么才能把导带位置降下来?
已经有6人回复
真心求教:Cu2O掺杂过渡金属的磁性能。问题非常具体,希望懂的给指点一下
已经有8人回复
如何用态密度来说明掺杂后结构合理或者稳定?
已经有7人回复
求高手!Cu(NO3)2掺杂TiO2,350度煅烧后,XPS测定Cu的价态为一价Cu2O,怎么解释呢
已经有10人回复
MgO掺杂后的Cu/ZnO/Al2O3催化剂后的XRD谱图,请问怎么解释和描述这种情况?
已经有3人回复
求助我的有机半导体小分子计算出来的能带没有带隙
已经有10人回复
能带带隙如何查看,求教
已经有10人回复
【求助】关于掺杂石墨烯能带结构的疑问
已经有8人回复
掺杂后直接计算能量,能说明什么问题?
已经有6人回复
掺杂TiO2能带计算
已经有4人回复
掺杂增加,禁带减小应该怎么解释
已经有15人回复
分析价带顶导带底的能带
已经有9人回复
关于Sb(锑---敬提)掺杂ZnO获得p型导电性的新的解释。
已经有17人回复
关于TiO2掺杂DOS图的问题
已经有12人回复
关于castep计算导带底和价带顶三个主轴方向上的有效质量!(还请版主置顶啊)
已经有17人回复
钛酸锶掺杂后 红外谱图强峰变宽 怎么解释?
已经有9人回复
费米能级的状态密度低说明什么?(具体见内容)
已经有4人回复
半导体价带顶和能带间隙计算?
已经有10人回复
掺杂体系的能带结构为何分α和β(如图)?
已经有12人回复
求助光学性质和态密度的关系
已经有9人回复
【求助】能带带隙
已经有18人回复
【求助】计算出的费米能级为什么和价带顶重合
已经有16人回复
【求助】费米能级的概念、用途或其意义?
已经有12人回复

shiyu_xueshu
新虫 (小有名气)
- 应助: 0 (幼儿园)
- 金币: 650.8
- 帖子: 83
- 在线: 105.2小时
- 虫号: 2349445
- 注册: 2013-03-15
- 性别: MM
- 专业: 无机非金属类光电信息与功
shiyu_xueshu: 回帖置顶 2014-09-02 20:11:34

15楼2014-08-26 21:10:42
shiyu_xueshu
新虫 (小有名气)
- 应助: 0 (幼儿园)
- 金币: 650.8
- 帖子: 83
- 在线: 105.2小时
- 虫号: 2349445
- 注册: 2013-03-15
- 性别: MM
- 专业: 无机非金属类光电信息与功
shiyu_xueshu: 回帖置顶 2014-09-02 20:11:27
|
我前边的bader电荷分析是有问题的,我应该用掺杂后的与掺杂前的Fe2O3的bader电荷对比,而不是与POTCAR对比。所以我重新组织了一下,如下边所示: 原子 charge(空白样) charge(掺杂样) 得失电子 H 1 0.37 失0.63e O 7.17 7.28 得0.11e Fe 6.24 6.64 得0.4e 也就是说与H最近邻的O和Fe 都是得电子的,且得电子数与H失电子数几乎一致,是不是就认为H失去的电子都被这两个原子得到了,排列在它的轨道上。但是为什么Fe的态从导带迁移至价带顶呢?并且我测量后得到,在掺杂后与此Fe关联的Fe—-O键长和Fe——O——Fe键角确实都发生了变化,但仍然是八面体配位场。这些结果综合在一起,我还是想不太明白,半导体物理看了很多还是一些皮毛,希望侯老师如果不忙的话帮我再解答一下,万分感谢! |

16楼2014-09-02 20:10:46
shiyu_xueshu
新虫 (小有名气)
- 应助: 0 (幼儿园)
- 金币: 650.8
- 帖子: 83
- 在线: 105.2小时
- 虫号: 2349445
- 注册: 2013-03-15
- 性别: MM
- 专业: 无机非金属类光电信息与功

2楼2014-07-21 15:02:19
孙远慧
木虫 (小有名气)
- 应助: 20 (小学生)
- 金币: 1450.3
- 散金: 282
- 红花: 5
- 帖子: 229
- 在线: 224.3小时
- 虫号: 1375586
- 注册: 2011-08-22
- 性别: GG
- 专业: 理论和计算化学

3楼2014-07-22 20:39:52
shiyu_xueshu
新虫 (小有名气)
- 应助: 0 (幼儿园)
- 金币: 650.8
- 帖子: 83
- 在线: 105.2小时
- 虫号: 2349445
- 注册: 2013-03-15
- 性别: MM
- 专业: 无机非金属类光电信息与功

4楼2014-07-22 20:43:16
shiyu_xueshu
新虫 (小有名气)
- 应助: 0 (幼儿园)
- 金币: 650.8
- 帖子: 83
- 在线: 105.2小时
- 虫号: 2349445
- 注册: 2013-03-15
- 性别: MM
- 专业: 无机非金属类光电信息与功
|
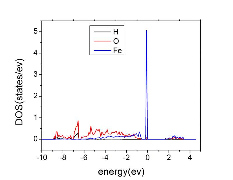
我这次做的是间隙H掺杂Fe2O3,下图a是空白的Fe2O3超胞,上图b是掺杂H之后的Fe2O3的DOS图。可以看到掺杂后带隙减小。通常解释带隙减小,我看的最多的是替代型(替换一个原子)掺杂的理论研究,就是说在费米面附近出现了杂化能级,并且是杂质原子贡献的。但我的这个体系做的是间隙掺杂,并且H的DOS的贡献(从图中可以看到,红色的那条线,右边是其纵轴)是在价带下部,不在费米面附近,就不能套用这种杂化理论去解释。但我的结果表明,带隙减小,费米面附近确实出现了一个分出来的新峰,这个峰怎么解释?如果最好能由此说明带隙减小的原因,就最好了。谢谢!对了,我在计算的过程中有加自旋,自认为计算过程应该没问题。希望您听懂我表达的意思了,能指教指教我,不甚感激。谢谢! |

5楼2014-07-23 15:25:43
valenhou001
至尊木虫 (职业作家)
- 1ST强帖: 13
- 应助: 241 (大学生)
- 金币: 25701.7
- 散金: 602
- 红花: 166
- 帖子: 3782
- 在线: 873.8小时
- 虫号: 1007127
- 注册: 2010-04-27
- 专业: 凝聚态物性 II :电子结构
【答案】应助回帖
★ ★ ★ ★ ★ ★ ★ ★ ★ ★ ★ ★ ★ ★ ★ ★ ★ ★ ★ ★ ★ ★ ★
感谢参与,应助指数 +1
fzx2008: 金币+3, 谢谢指导 2014-07-23 19:38:13
shiyu_xueshu: 金币+20, ★★★很有帮助, 谢谢帮助 2014-07-24 09:04:20
感谢参与,应助指数 +1
fzx2008: 金币+3, 谢谢指导 2014-07-23 19:38:13
shiyu_xueshu: 金币+20, ★★★很有帮助, 谢谢帮助 2014-07-24 09:04:20
|
不能说是能带减小了。带隙中的峰来自你掺杂的H导致的缺陷态,费米能级"钉扎"在缺陷能级了。 你的H间隙靠近什么原子?从你的DOS图来看,似乎是靠近Fe原子。你检查H在不同间隙位置了吗?比较它们的稳定性了吗? 另外你的H间隙浓度是多少?简单的拿出一张图,不能描述清楚问题。 |
6楼2014-07-23 17:01:33
shiyu_xueshu
新虫 (小有名气)
- 应助: 0 (幼儿园)
- 金币: 650.8
- 帖子: 83
- 在线: 105.2小时
- 虫号: 2349445
- 注册: 2013-03-15
- 性别: MM
- 专业: 无机非金属类光电信息与功

7楼2014-07-24 09:05:16
valenhou001
至尊木虫 (职业作家)
- 1ST强帖: 13
- 应助: 241 (大学生)
- 金币: 25701.7
- 散金: 602
- 红花: 166
- 帖子: 3782
- 在线: 873.8小时
- 虫号: 1007127
- 注册: 2010-04-27
- 专业: 凝聚态物性 II :电子结构
8楼2014-07-24 09:06:40
shiyu_xueshu
新虫 (小有名气)
- 应助: 0 (幼儿园)
- 金币: 650.8
- 帖子: 83
- 在线: 105.2小时
- 虫号: 2349445
- 注册: 2013-03-15
- 性别: MM
- 专业: 无机非金属类光电信息与功

9楼2014-07-24 15:51:12
valenhou001
至尊木虫 (职业作家)
- 1ST强帖: 13
- 应助: 241 (大学生)
- 金币: 25701.7
- 散金: 602
- 红花: 166
- 帖子: 3782
- 在线: 873.8小时
- 虫号: 1007127
- 注册: 2010-04-27
- 专业: 凝聚态物性 II :电子结构
|
"从你的DOS图来看,似乎是靠近Fe原子." 这个评论有点不正确。 态密度显示H间隙原子靠近O,因为你的态密度图中,H的s态与O的p态有重叠。 建议你画出与H靠近的O以及与该O靠近的Fe原子的分波态密度。那个带隙中的杂质态,是因为H间隙影响了与之相邻的O原子的价态,以及Fe的晶体场,从而与该O相邻的Fe的价态也略有变化。你可以先看未掺杂H间隙前,Fe2O3中的Fe是什么配位场(四面体、或八面体等,这个从原子结构就可以大致看出来的),以及画出Fe原子的分波态密度。另外对比这个这个特定Fe原子(即与H靠近的O以及与该O靠近的Fe原子)的Fe-O键长、O-Fe-O键角在H间隙掺杂前后的变化。 还有,你也可以做个Bader charge analysis,看这个特定Fe原子的电荷有无变化,若有变化,变化大致是多少。通过这些就可以大致分析出那个带隙中杂质态的起源。 |
10楼2014-07-24 16:21:41














回复此楼