版块导航
正在加载中...
客户端APP下载
论文辅导
申博辅导
登录
注册
帖子
帖子
用户
本版
应《网络安全法》要求,自2017年10月1日起,未进行实名认证将不得使用互联网跟帖服务。为保障您的帐号能够正常使用,请尽快对帐号进行手机号验证,感谢您的理解与支持!
24小时热门版块排行榜
>
论坛更新日志
(3480)
>
虫友互识
(451)
>
文献求助
(392)
>
导师招生
(269)
>
硕博家园
(181)
>
招聘信息布告栏
(173)
>
博后之家
(122)
>
休闲灌水
(112)
>
论文投稿
(107)
>
考博
(80)
>
基金申请
(71)
>
教师之家
(66)
>
金融投资
(44)
>
论文道贺祈福
(43)
>
找工作
(42)
>
考研
(40)
小木虫论坛-学术科研互动平台
»
计算模拟区
»
计算模拟
»
软件使用与操作
»
有谁能帮我用matlab解下这个偏微分方程组
3
1/1
返回列表
查看: 460 | 回复: 2
只看楼主
@他人
存档
新回复提醒
(忽略)
收藏
在APP中查看
n23456m
木虫
(小有名气)
应助: 0
(幼儿园)
金币: 2211.6
散金: 35
红花: 3
帖子: 223
在线: 82.1小时
虫号: 2024823
注册: 2012-09-24
性别: GG
专业: 激光
[
求助
]
有谁能帮我用matlab解下这个偏微分方程组
已有1人参与
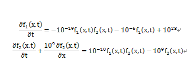
有谁能帮我用matlab解下这个偏微分方程组(写出能画出f1和f2图的程序即可),如能解出再加50金币,万分感激
方程.GIF
回复此楼
» 猜你喜欢
新西兰Robinson研究所招收全奖PhD
已经有0人回复
石墨烯转移--二氧化硅衬底石墨烯
已经有0人回复
物理学I论文润色/翻译怎么收费?
已经有275人回复
笼目材料中量子自旋液体基态的证据
已经有0人回复
数学教学论硕士可以读数学物理博士吗?
已经有0人回复
德国亥姆霍兹Hereon中心汉堡分部招镁合金腐蚀裂变SCC课题方向2026公派博士生
已经有4人回复
澳门大学 应用物理及材料工程研究院 潘晖教授课题组诚招博士后
已经有11人回复
求助NH4V4O10晶体的CIF文件
已经有0人回复
英国全奖博士招聘-深度学习与量子物理
已经有0人回复
间接带隙半导体有效质量求助
已经有1人回复
投稿chemical physical letters不送审?
已经有2人回复
» 本主题相关价值贴推荐,对您同样有帮助:
请问这个偏微分方程组有一般的解法么?
已经有12人回复
非线性二阶微分方程组求解,matlab
已经有12人回复
Matlab中ode45出现大误差,关于用ODE45解偏微分方程的疑问,有待解决,大家共同讨论!
已经有4人回复
偏微分方程Matlab求解
已经有7人回复
用matlab 求解参数方程组
已经有8人回复
如何用MATLAB求解脉冲微分方程并画图
已经有5人回复
求助帮帮我编写一个MATLAB程序求解下面一个方程组!!多谢了
已经有5人回复
matlab如何求解一个非线性微分方程组
已经有8人回复
如何用Matlab求时变微分方程的解?
已经有5人回复
matlab解偏微分方程求助
已经有12人回复
matlab有限差分法求解复杂的偏微分方程组
已经有19人回复
Matlab求解偏微分方程组
已经有22人回复
matlab数值求解边界条件微分方程组
已经有7人回复
求matlab求解一个方程组的问题
已经有6人回复
【求助】MATLAB 有限差分法(FDM)求解偏微分方程
已经有22人回复
【求助】急请微分方程高手看下这个方程组!
已经有14人回复
【求助】matlab怎么求解偏微分方程组啊,先谢谢了
已经有13人回复
【求助】有限元法求解二阶偏微分方程组
已经有6人回复
不忘初心,方得始终
1楼
2014-05-13 20:22:03
已阅
回复此楼
关注TA
给TA发消息
送TA红花
TA的回帖
n23456m
木虫
(小有名气)
应助: 0
(幼儿园)
金币: 2211.6
散金: 35
红花: 3
帖子: 223
在线: 82.1小时
虫号: 2024823
注册: 2012-09-24
性别: GG
专业: 激光
另外初始条件是:f1(x,0)=0,f2(x,0)=0,f2(0,t)=10000,x的范围从0到1,t的范围从0到0.00001
赞
一下
回复此楼
不忘初心,方得始终
2楼
2014-05-13 21:06:18
已阅
回复此楼
关注TA
给TA发消息
送TA红花
TA的回帖
sailbxl
木虫
(正式写手)
应助: 13
(小学生)
金币: 1904.5
散金: 2329
红花: 2
帖子: 697
在线: 99.3小时
虫号: 613129
注册: 2008-09-26
性别: GG
专业: 激光
【答案】应助回帖
★ ★ ★ ★ ★ ★ ★ ★ ★ ★ ★ ★ ★ ★ ★ ★ ★ ★ ★ ★ ★ ★ ★ ★ ★ ★ ★ ★ ★ ★
感谢参与,应助指数 +1
n23456m: 金币+30,
★★★
很有帮助, 嗯
2014-05-15 17:37:09
bvp4c函数吧
有一本书叫matlab高级光学仿真,最后一章节计算连续光纤激光器和放大器的里面就是解这种偏微分函数的
好像,也可以用差分的方法,有文件里介绍过。
好久没计算了,不好意思啊
赞
一下
(1人)
回复此楼
良工不示人以朴
3楼
2014-05-15 09:49:36
已阅
回复此楼
关注TA
给TA发消息
送TA红花
TA的回帖
相关版块跳转
第一性原理
量子化学
计算模拟
分子模拟
仿真模拟
程序语言
我要订阅楼主
n23456m
的主题更新
3
1/1
返回列表
如果回帖内容含有宣传信息,请如实选中。否则帐号将被全论坛禁言
普通表情
龙
兔
虎
猫
百度网盘
|
360云盘
|
千易网盘
|
华为网盘
在新窗口页面中打开自己喜欢的网盘网站,将文件上传后,然后将下载链接复制到帖子内容中就可以了。
信息提示
关闭
请填处理意见
关闭
确定