| 查看: 1275 | 回复: 5 | |
[求助]
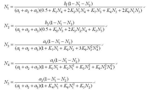
求助帮帮我编写一个MATLAB程序求解下面一个方程组!!多谢了
|
|
|
|
|
|
2楼2013-06-05 22:49:16
|
|
dingd铁杆木虫 (职业作家)
|
|
|
3楼2013-06-06 09:46:00
|
|
|
4楼2013-06-06 13:24:49
|
|
|
5楼2013-06-06 13:36:18
|
|
dingd铁杆木虫 (职业作家)
|
|
|
6楼2013-06-06 14:27:34
|
|













回复此楼