| 查看: 542 | 回复: 4 | ||||
[求助]
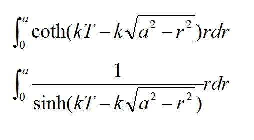
数学盲求积分题
|
||||
|
|
||||
|
2楼2014-05-09 08:14:30
|
|
|||
feixiaolin荣誉版主 (文坛精英)
|
|
|||
|
3楼2014-05-09 10:09:05
|
|
|||
|
4楼2014-05-09 14:12:14
|
|
|||
feixiaolin荣誉版主 (文坛精英)
|
||||
|
5楼2014-05-09 15:24:36
|
|













回复此楼