| ²é¿´: 1392 | »Ø¸´: 8 | ||
squirrel_DÒø³æ (СÓÐÃûÆø)
|
[ÇóÖú]
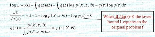
ÇóÖú»ý·ÖÇóµ¼µÄÎÊÌ⣬ÈçºÎ´ÓµÚÒ»²½ÍƵ¼µÚ¶þ²½£¿
|
|
![]() |
||
|
|
||
thekissofgodͳæ (ÕýʽдÊÖ)
|
¡¾´ð°¸¡¿Ó¦Öú»ØÌû
¸Ðл²ÎÓ룬ӦÖúÖ¸Êý +1
» ±¾ÌûÒÑ»ñµÃµÄºì»¨£¨×îÐÂ10¶ä£© |
|
![]() |
||
|
2Â¥2012-08-31 21:54:45
|
|
|
squirrel_DÒø³æ (СÓÐÃûÆø)
|
||
![]() |
||
|
3Â¥2012-08-31 22:54:01
|
|
|
thekissofgodͳæ (ÕýʽдÊÖ)
|
||
![]() |
||
|
4Â¥2012-08-31 23:11:10
|
|
|
squirrel_DÒø³æ (СÓÐÃûÆø)
|
||
![]() |
||
|
5Â¥2012-08-31 23:33:09
|
|
|
squirrel_DÒø³æ (СÓÐÃûÆø)
|
||
![]() |
||
|
6Â¥2012-08-31 23:34:41
|
|
|
squirrel_DÒø³æ (СÓÐÃûÆø)
|
||
![]() |
||
|
7Â¥2012-08-31 23:36:35
|
|
|
ÈËÃñº£¾üľ³æ (Ö°Òµ×÷¼Ò)
|
||
![]() |
||
|
8Â¥2012-09-02 00:06:16
|
|
|
thekissofgodͳæ (ÕýʽдÊÖ)
|
¡¾´ð°¸¡¿Ó¦Öú»ØÌû
¡ï ¡ï ¡ï ¡ï ¡ï
squirrel_D: ½ð±Ò+5, ¡ï¡ï¡ï¡ï¡ï×î¼Ñ´ð°¸, ´óʦºÃÈË£¬½²µÄºÜÇå³þ£¬¶àл£¡ 2012-09-02 10:30:06
|
|
![]() |
||
|
9Â¥2012-09-02 01:31:07
|
|














»Ø¸´´ËÂ¥
squirrel_D