| 查看: 1926 | 回复: 9 | ||
zijingniao金虫 (小有名气)
|
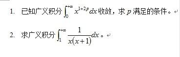
[求助]
求广义积分的题目
|
|
|
|
||
|
2楼2012-05-15 21:44:53
|
|
|
Jackie2011木虫 (正式写手)
|
||
![]() |
||
|
3楼2012-05-15 21:49:15
|
|
|
Jackie2011木虫 (正式写手)
|
||
![]() |
||
|
4楼2012-05-16 21:13:02
|
|
|
clausius木虫 (小有名气)
司令
|
【答案】应助回帖
感谢参与,应助指数 +1
» 本帖已获得的红花(最新10朵) |
|
![]() |
||
|
5楼2012-05-17 01:44:04
|
|
|
zijingniao金虫 (小有名气)
|
||
|
6楼2012-05-17 23:19:12
|
|
|
|
7楼2012-05-17 23:55:28
|
|
|
|
8楼2012-05-18 00:31:28
|
|
|
clausius木虫 (小有名气)
司令
|
||
![]() |
||
|
9楼2012-05-18 00:45:24
|
|
|
|
10楼2012-05-18 01:25:06
|
|














回复此楼

zijingniao