| 查看: 1353 | 回复: 12 | |
renjunjie木虫 (正式写手)
|
[求助]
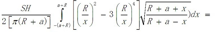
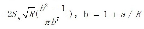
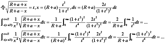
大家帮忙看看这个积分怎么求哦
|
|
|
|
| 回帖支持 ( 显示支持度最高的前 50 名 ) | |
touchingdizi木虫 (正式写手)
|
|
|
6楼2011-11-29 14:39:24
|
|
| 普通回帖 | |
花落流水木虫 (正式写手)
|
|
![]() |
|
|
2楼2011-11-28 19:52:51
|
|
Jackie2011木虫 (正式写手)
|
|
![]() |
|
|
3楼2011-11-28 20:20:34
|
|
renjunjie木虫 (正式写手)
|
|
|
4楼2011-11-29 08:45:44
|
|
benovence至尊木虫 (著名写手)
天道酬勤
|
|
![]() |
|
|
5楼2011-11-29 13:10:59
|
|
|
7楼2011-11-30 15:29:57
|
|
touchingdizi木虫 (正式写手)
|
|
|
8楼2011-11-30 15:48:29
|
|
renjunjie木虫 (正式写手)
|
|
|
9楼2011-11-30 16:17:58
|
|
renjunjie木虫 (正式写手)
|
|
|
10楼2011-11-30 16:18:27
|
|













回复此楼
好复杂 