| ²é¿´: 757 | »Ø¸´: 3 | ||
Ðé¸óÐüÇÙ¾èÖú¹ó±ö (ÖøÃûдÊÖ)
OHAHA
|
[ÇóÖú]
»ý·ÖÔõôËã²»¶Ô¡£¡£¡£ £¿
|
|
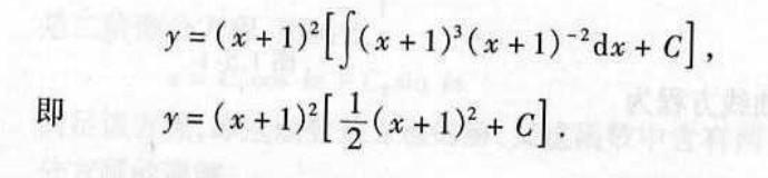
Çë½Ì´ó¼Ò£¬¿´Ò»Ï£¬ÎÒÔÚÀïÃæ×ö£¨x+1£©µÄ»ý·Öʱºò£¬Ö±½Óµ±×öÒ»¸öÕûÌåºÍ²ð¿ªÀ´ËãÔõô½á¹û²»Ò»Ñù¡£¡£¡£ ÎҲ𿪣¨x+1£©À´ËãÊÇ x2/2+xΪʲôһ¸öÕûÌåʽ1/2(x+1)2ÄØ£¿ÓеãÃÔºýÁË¡£¡£¡£ |
» ²ÂÄãϲ»¶
ºÓÄÏÀí¹¤´óѧ»¯Ñ§»¯¹¤Ñ§ÔºÇâÄÜ¿ª·¢ÀûÓÃÍŶÓÕÐÊÕ²ÄÁÏ¡¢»¯¹¤¡¢ÄÜÔ´Ïà¹Ø·½ÏòÑо¿Éú
ÒѾÓÐ5È˻ظ´
ɽÎ÷´óѧÄÜÔ´Óë»·¾³´ß»¯·½Ïò 2026¼¶²©Ê¿ÕÐÉú (ÉêÇë-¿¼ºËÖÆ--4ÔÂ10ÈÕǰÓÐЧ)
ÒѾÓÐ0È˻ظ´
»¯Ñ§¹¤³Ì¼°¹¤Òµ»¯Ñ§ÂÛÎÄÈóÉ«/·ÒëÔõôÊÕ·Ñ?
ÒѾÓÐ110È˻ظ´
²ÄÁÏÓ뻯¹¤×¨ÒµÓдóÁ¿µ÷¼ÁÖ¸±ê
ÒѾÓÐ8È˻ظ´
²³º£´óѧ²ÄÁÏÓë»·¾³¹¤³ÌѧԺ·¢¹â¼°Í¸Ã÷ÌմɲÄÁÏ¡¢µØ¾ÛÎïÎü²¨»ìÄýÍÁ·½Ïò½ÓÊÕÑо¿Éúµ÷¼Á
ÒѾÓÐ0È˻ظ´
085600µ÷¼Á
ÒѾÓÐ4È˻ظ´
ɽÎ÷´óѧÄÜÔ´Óë»·¾³´ß»¯·½Ïò 2026¼¶²©Ê¿ÕÐÉú (ÉêÇë-¿¼ºËÖÆ--4ÔÂ10ÈÕǰÓÐЧ)
ÒѾÓÐ0È˻ظ´
ÏßÉϸ´ÊÔµ÷¼Á
ÒѾÓÐ0È˻ظ´
ÕÐÊÕ»¯Ñ§/²ÄÁϵ÷¼Áͬѧ
ÒѾÓÐ5È˻ظ´
¿ÎÌâ×é(»¯Ñ§¡¢»¯¹¤¡¢»·¾³¡¢ÄÜÔ´¡¢²ÄÁÏÏà¹Ø·½Ïò)»¶ÓÄãµÄ¼ÓÈë
ÒѾÓÐ8È˻ظ´
ºÓÄÏÀí¹¤´óѧ»¯Ñ§»¯¹¤Ñ§ÔºÕÐÊÕ²ÄÁÏ¡¢»¯¹¤¡¢ÄÜÔ´¡¢»·¾³µÈÏà¹Ø×¨Òµ·½ÏòµÄÑо¿Éú
ÒѾÓÐ0È˻ظ´
» ±¾Ö÷ÌâÏà¹Ø¼ÛÖµÌùÍÆ¼ö£¬¶ÔÄúͬÑùÓаïÖú:
ÖпÆÔºÏµÍ³¡¶ÎïÀí»¯Ñ§¡·£¨¼×£©¿¼Ñи´Ï°¾Ñ顪¡ª×ª×Ôij´óʦ¼¶ºÃÓѵÄÈËÈËÍø
ÒѾÓÐ67È˻ظ´
¹ØÓÚMatlabËã·ûºÅ»ý·Ö
ÒѾÓÐ6È˻ظ´
ÇóÖú£ºÀíÂÛIECÖµ¼ÆËã
ÒѾÓÐ7È˻ظ´
´ó¼Ò°ïæ¿´¿´Õâ¸ö»ý·ÖÔõôÇóŶ
ÒѾÓÐ12È˻ظ´
¡¾·ÖÏí¡¿ËÄÕÐÄÃϰٶÈÎĿ⣬ע²á¡¢»ý·Ö¶¼ÊǸ¡ÔÆ¡£¡¾ÒÑËÑË÷ÎÞÖØ¸´¡¿
ÒѾÓÐ13È˻ظ´
Ò»¸ö¼òµ¥µÄʽ×Ó£¬È´Ëã²»ÕýÈ·
ÒѾÓÐ10È˻ظ´
ÒºÏà·ÖÀë¶È²»ºÃÔÒò
ÒѾÓÐ14È˻ظ´
ÐüÉÍ100½ð±Ò Çó¶ÔÇúÏßµÄÃæ»ý»ý·Ö¡£opusÈí¼þµÄ²Ù×÷¡£
ÒѾÓÐ14È˻ظ´
ÈçºÎÓú˴ÅÇâÆ×¼ÆËã¾ÛºÏÎï·Ö×ÓÁ¿ºÍ¾ÛºÏ¶È¡£
ÒѾÓÐ16È˻ظ´
³öÏÖÔÓÖÊ·åʱӦ¸ÃÔõô»ý·Ö
ÒѾÓÐ4È˻ظ´
¡¾ÇóÖú¡¿Êýѧ»ý·Ö
ÒѾÓÐ29È˻ظ´
¡¾ÌÖÂÛ¡¿¡¶Á¿×Ó»¯Ñ§¡ª¡ª»ù±¾ÔÀíºÍ´ÓÍ·¼ÆËã·¨¡·¹ØÓÚGTO»ý·ÖµÄÒ»´¦Ð¡´íÎó
ÒѾÓÐ3È˻ظ´
¡¾ÇóÖú¡¿DOSÔõô»ý·ÖµÃµ½µç×ÓÊý
ÒѾÓÐ16È˻ظ´

kaoyansnail
Òø³æ (СÓÐÃûÆø)
- Ó¦Öú: 6 (Ó×¶ùÔ°)
- ½ð±Ò: 390.7
- É¢½ð: 11
- ºì»¨: 3
- Ìû×Ó: 174
- ÔÚÏß: 36.4Сʱ
- ³æºÅ: 1739260
- ×¢²á: 2012-04-06
- ÐÔ±ð: GG
- רҵ: »·¾³ÎÛȾ»¯Ñ§
¡¾´ð°¸¡¿Ó¦Öú»ØÌû
¡ï ¡ï
¸Ðл²ÎÓ룬ӦÖúÖ¸Êý +1
ymnh: ½ð±Ò+1, »ý¼«Ó¦Öú£¬»¶Ó³£À´¡£ 2012-04-18 18:54:10
Ðé¸óÐüÇÙ: ½ð±Ò+1, ¡ï¡ï¡ï¡ï¡ï×î¼Ñ´ð°¸, µãÆÆÃÎÖÐÈ˰¡ £¬¹þ¹þ лл 2012-04-18 21:39:21
¸Ðл²ÎÓ룬ӦÖúÖ¸Êý +1
ymnh: ½ð±Ò+1, »ý¼«Ó¦Öú£¬»¶Ó³£À´¡£ 2012-04-18 18:54:10
Ðé¸óÐüÇÙ: ½ð±Ò+1, ¡ï¡ï¡ï¡ï¡ï×î¼Ñ´ð°¸, µãÆÆÃÎÖÐÈ˰¡ £¬¹þ¹þ лл 2012-04-18 21:39:21
| ÖÐÀ¨ºÅÀïÃæµÄÊǸö²»¶¨»ý·Ö°¡£¬1/2(x+1)2+C1²»¾ÍµÈÓÚx2/2+x+Cô¡£ºÇºÇ£¬Ï൱ÓÚ1/2+C1=C¡£Ö»Êdz£ÊýC±äÁË¡£Ï£Íû¶ÔÄúÓаïÖú |

2Â¥2012-04-18 18:52:37
·Ü¶·¿àÂÃ12
ľ³æ (СÓÐÃûÆø)
- Ó¦Öú: 3 (Ó×¶ùÔ°)
- ½ð±Ò: 2379.6
- ºì»¨: 1
- Ìû×Ó: 170
- ÔÚÏß: 43.3Сʱ
- ³æºÅ: 1558679
- ×¢²á: 2012-01-01
- ÐÔ±ð: GG
- רҵ: ´«ÈÈ´«ÖÊѧ

3Â¥2012-04-18 23:10:46
iprj
ľ³æ (ÕýʽдÊÖ)
- Ó¦Öú: 47 (СѧÉú)
- ½ð±Ò: 2353.6
- É¢½ð: 892
- ºì»¨: 5
- Ìû×Ó: 316
- ÔÚÏß: 66.1Сʱ
- ³æºÅ: 391843
- ×¢²á: 2007-06-04
- ÐÔ±ð: GG
- רҵ: »·¾³ÎÛȾ»¯Ñ§

4Â¥2012-04-19 15:05:36














»Ø¸´´ËÂ¥