±±¾©Ê¯ÓÍ»¯¹¤Ñ§Ôº2026ÄêÑо¿ÉúÕÐÉú½ÓÊÕµ÷¼Á¹«¸æ
²é¿´: 2599  |  »Ø¸´: 7

y2fjay

ÖÁ×ðľ³æ (ÖªÃû×÷¼Ò)

[ÇóÖú] ÇóÖú£ºÀíÂÛIECÖµ¼ÆËã

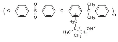
ÒõÀë×Ó½»»»Ä¤µÄÀíÂÛIECÖµ ÔõôËãµÄ
     ±ÈÈç¸Ã¸ß·Ö×Ó Í¨¹ýºË´Å µÃÖªÁ¬½ÓÓÐ1¸ö¼¾ï§¼î»ùÍÅ£¬ÔõôËãÆäÀíÂÛIECÖµ


лл
»Ø¸´´ËÂ¥

» ²ÂÄãϲ»¶

» ±¾Ö÷ÌâÏà¹ØÉ̼ÒÍÆ¼ö: (ÎÒÒ²ÒªÔÚÕâÀïÍÆ¹ã)

» ±¾Ö÷ÌâÏà¹Ø¼ÛÖµÌùÍÆ¼ö£¬¶ÔÄúͬÑùÓаïÖú:

ÒÑÔÄ   »Ø¸´´ËÂ¥   ¹Ø×¢TA ¸øTA·¢ÏûÏ¢ ËÍTAºì»¨ TAµÄ»ØÌû

y2fjay

ÖÁ×ðľ³æ (ÖªÃû×÷¼Ò)

ûÓÐÈË×öÀë×Ó½»»»Ä¤Â𣿣¿£¿
2Â¥2011-12-26 08:51:55
ÒÑÔÄ   »Ø¸´´ËÂ¥   ¹Ø×¢TA ¸øTA·¢ÏûÏ¢ ËÍTAºì»¨ TAµÄ»ØÌû

zlin

ÈÙÓþ°æÖ÷ (ÖªÃû×÷¼Ò)

ÓÅÐã°æÖ÷

¡¾´ð°¸¡¿Ó¦Öú»ØÌû

¸Ðл²ÎÓ룬ӦÖúÖ¸Êý +1
ÎÒ×öÕâ¸ö·½Ïò£¬¿ÉÒÔºÍÄã½»Á÷Ò»ÏÂ~
Ö»ÓгõÁµ°ãµÄÈÈÇéºÍ×ڽ̰ãµÄÒâÖ¾£¬È˲ÅÓпÉÄܳɾÍijÖÖÊÂÒµ¡ª¡ªÂ·Ò£
3Â¥2011-12-26 09:07:16
ÒÑÔÄ   »Ø¸´´ËÂ¥   ¹Ø×¢TA ¸øTA·¢ÏûÏ¢ ËÍTAºì»¨ TAµÄ»ØÌû

zlin

ÈÙÓþ°æÖ÷ (ÖªÃû×÷¼Ò)

ÓÅÐã°æÖ÷

¡¾´ð°¸¡¿Ó¦Öú»ØÌû

ÀíÂÛ¼ÆËãÊÇ»ùÓں˴ÅÖеļÆËãµÄ£¬±ÈÈç¿¿½üSO2¸½½üµÄprotonµÄchemical shiftÊǺÜÉÙÊܼ޽ӵÄÓ°ÏìµÄ£¬Òò´Ë¿ÉÒÔÈÏΪ·åÃæ»ý²»±ä£¬¶ø¼Þ½Ó³öÏÖµÄзåµÄÃæ»ýÒ²¿ÉÒÔ¼ÆË㣬ÕâÑù¾Í¿ÉÒÔÈ·¶¨¼Þ½ÓµÄ³Ì¶ÈÁË
Ö»ÓгõÁµ°ãµÄÈÈÇéºÍ×ڽ̰ãµÄÒâÖ¾£¬È˲ÅÓпÉÄܳɾÍijÖÖÊÂÒµ¡ª¡ªÂ·Ò£
4Â¥2011-12-26 09:09:15
ÒÑÔÄ   »Ø¸´´ËÂ¥   ¹Ø×¢TA ¸øTA·¢ÏûÏ¢ ËÍTAºì»¨ TAµÄ»ØÌû

tjk

Ìú¸Ëľ³æ (Ö°Òµ×÷¼Ò)

¡¾´ð°¸¡¿Ó¦Öú»ØÌû

¸Ðл²ÎÓ룬ӦÖúÖ¸Êý +1
Ê×ÏÈIECµÄµ¥Î»ÊÇmmol/gËùÒÔÖ±½Ó±ÈÁ½ÖÖ²»Í¬µÄÇâÓ¦¸ÃÊDz»¶ÔµÄ£¬ÎÒÏëºË´ÅµÄ»ý·Ö´ú±íµÄÇâµÄ¸öÊý£¬ËùÒÔ¿ÉÒÔ½«µªÉϼ׻ùµÄÇâÕÛËã³ÉÀë×Ó½»»»»ùÍŵĸöÊý£¬Óñ½»·ÉϵÄÇâÕÛËã³ö·Ö×ӵķÖ×ÓÁ¿£¬ÕâÑù¾Í¿ÉÒÔ¼ÆËãÁË£¬²»Öª¿É·ñ
5Â¥2011-12-26 16:34:14
ÒÑÔÄ   »Ø¸´´ËÂ¥   ¹Ø×¢TA ¸øTA·¢ÏûÏ¢ ËÍTAºì»¨ TAµÄ»ØÌû

y2fjay

ÖÁ×ðľ³æ (ÖªÃû×÷¼Ò)

ÒýÓûØÌû:
Â¥: Originally posted by tjk at 2011-12-26 16:34:14:
Ê×ÏÈIECµÄµ¥Î»ÊÇmmol/gËùÒÔÖ±½Ó±ÈÁ½ÖÖ²»Í¬µÄÇâÓ¦¸ÃÊDz»¶ÔµÄ£¬ÎÒÏëºË´ÅµÄ»ý·Ö´ú±íµÄÇâµÄ¸öÊý£¬ËùÒÔ¿ÉÒÔ½«µªÉϼ׻ùµÄÇâÕÛËã³ÉÀë×Ó½»»»»ùÍŵĸöÊý£¬Óñ½»·ÉϵÄÇâÕÛËã³ö·Ö×ӵķÖ×ÓÁ¿£¬ÕâÑù¾Í¿ÉÒÔ¼ÆËãÁË£¬²»Öª¿É·ñ

ÊÇͨ¹ý¸ÃºË´Å ÉÏSO2¸½½ü±½»·ÉϵÄÇâÓ뵪Éϼ׻ùµÄÇâÖ®±È »»Ë㠵õ½µÄ ¼¾ï§¼î »ùÍŸöÊý£¬
Óñ½»·ÉϵÄÇâÕÛËã³ö·Ö×ӵķÖ×ÓÁ¿£¿£¿  ²»Ã÷°× ʲôÒâ˼
6Â¥2011-12-26 17:22:02
ÒÑÔÄ   »Ø¸´´ËÂ¥   ¹Ø×¢TA ¸øTA·¢ÏûÏ¢ ËÍTAºì»¨ TAµÄ»ØÌû

y2fjay

ÖÁ×ðľ³æ (ÖªÃû×÷¼Ò)

ÒýÓûØÌû:
Â¥: Originally posted by zlin at 2011-12-26 09:09:15:
ÀíÂÛ¼ÆËãÊÇ»ùÓں˴ÅÖеļÆËãµÄ£¬±ÈÈç¿¿½üSO2¸½½üµÄprotonµÄchemical shiftÊǺÜÉÙÊܼ޽ӵÄÓ°ÏìµÄ£¬Òò´Ë¿ÉÒÔÈÏΪ·åÃæ»ý²»±ä£¬¶ø¼Þ½Ó³öÏÖµÄзåµÄÃæ»ýÒ²¿ÉÒÔ¼ÆË㣬ÕâÑù¾Í¿ÉÒÔÈ·¶¨¼Þ½ÓµÄ³Ì¶ÈÁË

¶÷   ¾ÍÊÇͨ¹ýÇâÃæ»ý »ý·Ö  ÍƵà ¼Þ½ÓÉÏÒ»¸ö  ¼¾ï§¼î»ùÍÅ   

ÄÇÔõôËãÆä ÀíÂÛIEC ÄØ£¿   Ð»Ð»
7Â¥2011-12-26 17:24:07
ÒÑÔÄ   »Ø¸´´ËÂ¥   ¹Ø×¢TA ¸øTA·¢ÏûÏ¢ ËÍTAºì»¨ TAµÄ»ØÌû

zlin

ÈÙÓþ°æÖ÷ (ÖªÃû×÷¼Ò)

ÓÅÐã°æÖ÷

¡¾´ð°¸¡¿Ó¦Öú»ØÌû

y2fjay(½ð±Ò+5): ¡ïÓаïÖú 2011-12-31 00:28:18
ÒýÓûØÌû:
7Â¥: Originally posted by y2fjay at 2011-12-26 17:24:07:
¶÷   ¾ÍÊÇͨ¹ýÇâÃæ»ý »ý·Ö  ÍƵà ¼Þ½ÓÉÏÒ»¸ö  ¼¾ï§¼î»ùÍÅ   

ÄÇÔõôËãÆä ÀíÂÛIEC ÄØ£¿   Ð»Ð»

ÄãÖªµÀIECµÄ¶¨Òå°É¡£ÀíÂÛµÄIECºÜºÃ¼ÆËãµÄ°¡£¬·Ö×ÓÁ¿µÄµ¹Êý¾ÍÊÇÀíÂÛIEC£¬ÄãÏëÏëÊDz»ÊÇ£¬Èç¹ûÿ¸ösection¼Þ½ÓÒ»¸ö¼¾ï§»ùÍŵϰ
Ö»ÓгõÁµ°ãµÄÈÈÇéºÍ×ڽ̰ãµÄÒâÖ¾£¬È˲ÅÓпÉÄܳɾÍijÖÖÊÂÒµ¡ª¡ªÂ·Ò£
8Â¥2011-12-26 23:17:40
ÒÑÔÄ   »Ø¸´´ËÂ¥   ¹Ø×¢TA ¸øTA·¢ÏûÏ¢ ËÍTAºì»¨ TAµÄ»ØÌû
Ïà¹Ø°æ¿éÌø×ª ÎÒÒª¶©ÔÄÂ¥Ö÷ y2fjay µÄÖ÷Ìâ¸üÐÂ
×î¾ßÈËÆøÈÈÌûÍÆ¼ö [²é¿´È«²¿] ×÷Õß »Ø/¿´ ×îºó·¢±í
[¿¼ÑÐ] 085600£¬×¨Òµ¿Î»¯¹¤Ô­Àí£¬320·ÖÇóµ÷¼Á +10 ´ó²öС×Ó 2026-03-29 10/500 2026-04-05 12:49 by Hdyxbekcb
[¿¼ÑÐ] 085410È˹¤ÖÇÄÜ ³õÊÔ316·Ö Çóµ÷¼Á +6 ²ÐÐÇ·÷Êï 2026-03-31 6/300 2026-04-05 12:15 by rainbow11
[¿¼ÑÐ] ²ÄÁϵ÷¼Á +9 ¸ï΢¹ð 2026-04-04 9/450 2026-04-05 08:27 by 544594351
[¿¼ÑÐ] Çóµ÷¼Á +10 ÐܶþÏëÉϰ¶ 2026-04-04 10/500 2026-04-05 08:09 by qlm5820
[¿¼ÑÐ] 320·ÖÈ˹¤ÖÇÄܵ÷¼Á +7 Õñ¡ªTZ 2026-04-03 7/350 2026-04-05 00:42 by chongya
[¿¼ÑÐ] Ò»Ö¾Ô¸Ö£ÖÝ´óѧ²ÄÁÏÓ뻯¹¤085600£¬Çóµ÷¼Á +24 ³ÔµÄ²»ÉÙ 2026-04-02 24/1200 2026-04-04 23:20 by ÓÀ×ÖºÅ
[¿¼ÑÐ] Ò»Ö¾Ô¸°²»Õij211 0703»¯Ñ§×Ü·Ö339Çóµ÷¼Á +6 Íí·ç²»Íí 2026-04-04 6/300 2026-04-04 20:11 by dongzh2009
[¿¼ÑÐ] 340Çóµ÷¼Á +4 jhx777 2026-03-29 4/200 2026-04-04 20:08 by Î޼ʵIJÝÔ­
[¿¼ÑÐ] 342Çóµ÷¼Á +3 Liang7111 2026-04-04 5/250 2026-04-04 19:47 by dongzh2009
[¿¼ÑÐ] 291Çóµ÷¼Á +4 ÃÔÃÉľľ 2026-04-01 5/250 2026-04-04 15:59 by sihailian3
[¿¼ÑÐ] Çóµ÷¼Á +3 ũҵ¹¤³ÌÓëÐÅÏ¢¼ 2026-04-04 3/150 2026-04-04 12:19 by Éá¶øºóµÃ
[¿¼ÑÐ] ÊÞÒ½µ÷¼Á +3 wh119216 2026-04-02 3/150 2026-04-03 19:34 by zrongyan
[˶²©¼ÒÔ°] ÇóÀÏʦÊÕÁô +9 lllq123 2026-04-03 9/450 2026-04-03 13:48 by ºôÎü¶¼ÊǼõ·Ê
[¿¼ÑÐ] 309Çóµ÷¼Á +14 ´ô¹½²»ÊÇ´÷·ò 2026-04-02 14/700 2026-04-03 09:42 by À¶ÔÆË¼Óê
[¿¼ÑÐ] 326Çóµ÷¼Á +10 áÌáÌ×Ð 2026-04-02 10/500 2026-04-03 09:08 by ÅÁ¶ûÂíÀ­ÌØ
[¿¼ÑÐ] 311Çóµ÷¼Á +14 À¶ÔÂÁÁÁÁ 2026-03-30 14/700 2026-04-02 12:18 by 1753564080
[¿¼ÑÐ] 085900ÍÁľˮÀû336·ÖÇóµ÷¼Á +4 Zhangjiangj 2026-03-31 6/300 2026-04-02 11:40 by 1753564080
[¿¼ÑÐ] 265Çóµ÷¼Á +11 yelck 2026-04-01 12/600 2026-04-01 19:12 by 549790059
[¿¼ÑÐ] 358Çóµ÷¼Á +3 ÍõÏòÑô»¨ 2026-03-31 3/150 2026-04-01 09:56 by zzchen2000
[¿¼ÑÐ] ±¾2Ò»Ö¾Ô¸C9-333·Ö£¬²ÄÁÏ¿ÆÑ§Ó빤³Ì£¬Çóµ÷¼Á +9 ÉýÉý²»½µ 2026-03-31 9/450 2026-03-31 18:01 by Î޼ʵIJÝÔ­
ÐÅÏ¢Ìáʾ
ÇëÌî´¦ÀíÒâ¼û