| 查看: 1162 | 回复: 9 | |||
[求助]
求无穷广义积分
|
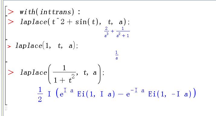
| 1/(t*t+1)*e^(-at) dt,积分限是0到正无穷 |
» 猜你喜欢
投稿Elsevier的Neoplasia杂志,到最后选publishing options时页面空白,不能完成投稿
已经有22人回复
申请26博士
已经有5人回复
职称评审没过,求安慰
已经有22人回复
垃圾破二本职称评审标准
已经有15人回复
EST投稿状态问题
已经有7人回复
毕业后当辅导员了,天天各种学生超烦
已经有4人回复
聘U V热熔胶研究人员
已经有10人回复
求助文献
已经有3人回复
投稿返修后收到这样的回复,还有希望吗
已经有8人回复
三无产品还有机会吗
已经有6人回复
» 本主题相关价值贴推荐,对您同样有帮助:
求解一个无穷积分
已经有9人回复
【紧急求助】1的无穷大次方、无穷大的0次方什么意义?为什么是未定式?
已经有7人回复
【求助】求2010年注册化工工程师基础考试的考试大纲
已经有4人回复
求2010年注册化工工程师基础考试的考试大纲
已经有3人回复
【求助】大家谈谈对注册环保工程师的了解
已经有15人回复
xxppyy
木虫 (小有名气)
- 数学EPI: 1
- 应助: 3 (幼儿园)
- 金币: 2855.4
- 散金: 16
- 红花: 4
- 帖子: 243
- 在线: 348.3小时
- 虫号: 19703
- 注册: 2003-07-17
★ ★
小雨萌萌(金币+2): 3Q~ 2011-10-08 19:25:28
小雨萌萌(金币+2): 3Q~ 2011-10-08 19:25:28
2楼2011-10-08 17:49:37
wurongjun
专家顾问 (职业作家)
-

专家经验: +831 - 数学EPI: 9
- 应助: 791 (博后)
- 贵宾: 0.308
- 金币: 24607.5
- 散金: 310
- 红花: 75
- 帖子: 3004
- 在线: 881.2小时
- 虫号: 1368482
- 注册: 2011-08-14
- 性别: GG
- 专业: 计算数学与科学工程计算
- 管辖: 数学

3楼2011-10-08 19:30:03
4楼2011-10-09 04:48:10
![]() ![]() ![]() |
5楼2011-10-09 10:27:40
book2005593
主管区长 (文坛精英)
- 应助: 123 (高中生)
- 贵宾: 64.97
- 金币: 161270
- 散金: 12654
- 红花: 246
- 沙发: 183
- 帖子: 17949
- 在线: 1647.8小时
- 虫号: 539655
- 注册: 2008-04-04
- 专业: 应用数学方法
- 管辖: 学术交流区
6楼2011-10-09 17:37:31
book2005593
主管区长 (文坛精英)
- 应助: 123 (高中生)
- 贵宾: 64.97
- 金币: 161270
- 散金: 12654
- 红花: 246
- 沙发: 183
- 帖子: 17949
- 在线: 1647.8小时
- 虫号: 539655
- 注册: 2008-04-04
- 专业: 应用数学方法
- 管辖: 学术交流区
7楼2011-10-09 17:40:59
8楼2011-10-11 04:01:21
book2005593
主管区长 (文坛精英)
- 应助: 123 (高中生)
- 贵宾: 64.97
- 金币: 161270
- 散金: 12654
- 红花: 246
- 沙发: 183
- 帖子: 17949
- 在线: 1647.8小时
- 虫号: 539655
- 注册: 2008-04-04
- 专业: 应用数学方法
- 管辖: 学术交流区
9楼2011-10-11 08:06:25
10楼2011-10-12 15:10:30













回复此楼



