| ²é¿´: 678 | »Ø¸´: 2 | ||
lyang0501Ìú³æ (³õÈëÎÄ̳)
|
[ÇóÖú]
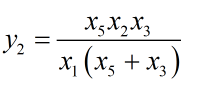
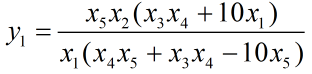
¼±ÇóÒ»¸ö¶àÔªº¯ÊýµÄ¶¨»ý·Ö¼ÆËãÎÊÌâ ÒÑÓÐ1È˲ÎÓë
|
|
|
|
||
dingdÌú¸Ëľ³æ (Ö°Òµ×÷¼Ò)
|
¡¾´ð°¸¡¿Ó¦Öú»ØÌû
¡ï ¡ï ¡ï ¡ï ¡ï ¡ï ¡ï ¡ï ¡ï ¡ï ¡ï ¡ï ¡ï ¡ï ¡ï ¡ï ¡ï ¡ï ¡ï ¡ï ¡ï ¡ï ¡ï ¡ï ¡ï ¡ï ¡ï ¡ï
¸Ðл²ÎÓ룬ӦÖúÖ¸Êý +1 lyang0501: ½ð±Ò+28, ¡ï¡ï¡ï¡ï¡ï×î¼Ñ´ð°¸ 2014-04-08 11:33:39
|
|
|
2Â¥2014-04-08 11:06:56
|
|
|
lyang0501Ìú³æ (³õÈëÎÄ̳)
|
||
|
3Â¥2014-04-08 11:28:45
|
|














»Ø¸´´ËÂ¥
5