| 查看: 420 | 回复: 1 | ||
beyark铁虫 (初入文坛)
|
[求助]
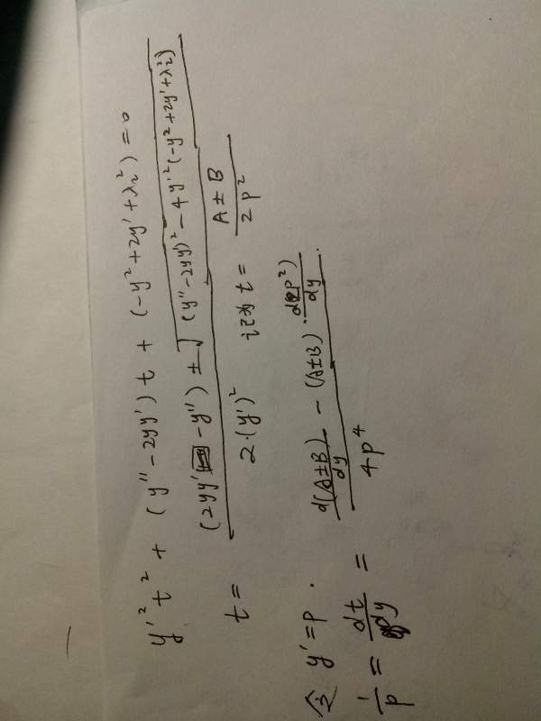
求解一个常微分方程的解,要具体求解过程
|
|
我现在只想到图片二中的想法,但是完全没有可行性。还有其它的思路? 55.jpg 照片_20140307_221117.jpg [ Last edited by feixiaolin on 2014-3-8 at 07:37 ] |
» 猜你喜欢
求调剂一志愿武汉理工大学材料工程(085601)
已经有7人回复
一志愿C9材料与化工专业总分300求调剂
已经有4人回复
321求调剂
已经有4人回复
307求调剂
已经有4人回复
293求调剂
已经有6人回复
085602 289分求调剂
已经有3人回复
一志愿北京化工大学材料与化工 264分各科过A区国家线
已经有3人回复
277分求调剂,跨调材料
已经有3人回复
材料292调剂
已经有6人回复
材料与化工考研调剂
已经有6人回复
» 本主题相关价值贴推荐,对您同样有帮助:
利用matlab求一阶变系数微分方程组的数值解。
已经有7人回复
求助非线性常微分方程和常系数双曲偏微分方程求解
已经有7人回复
微分方程求解(通解中含hypergeom函数)
已经有17人回复
常微分方程求解公式
已经有7人回复
求微分方程 最大值问题
已经有4人回复
Matlab怎么求解方程表达式?
已经有4人回复
一个二阶常微分方程的求解方法?
已经有5人回复
微分方程解的个数与方程的阶数关系
已经有5人回复
一阶微分方程求解,并优化参数值
已经有14人回复
高手进来用matlab求解常微分方程,十分感谢!
已经有17人回复
如何用matlab求一个式子的整数解
已经有4人回复
隐式欧拉法求解一阶常微分方程
已经有7人回复
请问如何求解二元一阶微分方程组
已经有24人回复
matlab数值求解边界条件微分方程组
已经有7人回复
麻烦帮忙解个微分方程~想知道解的过程
已经有8人回复
一个微分方程组,求解
已经有18人回复
【求助】向各位大侠求助matlab求解微分方程组遇到的一个问题
已经有21人回复
【求助】如何解常微分方程
已经有3人回复
【求助】请教非齐次常微分方程组的解析解法
已经有4人回复
【求助】求助一个一阶常微分方程的初值问题
已经有16人回复
【求助】常微分方程组的解析解
已经有3人回复
【求助】一个常微分方程的通解
已经有6人回复

终之太刀—晓
铁杆木虫 (著名写手)
数学爱好者
- 数学EPI: 7
- 应助: 282 (大学生)
- 贵宾: 0.018
- 金币: 2934.2
- 散金: 5589
- 红花: 53
- 帖子: 1809
- 在线: 401.6小时
- 虫号: 3469007
- 注册: 2014-10-12
- 性别: MM
- 专业: 偏微分方程

2楼2014-11-01 02:58:38













回复此楼