| ²é¿´: 1211 | »Ø¸´: 3 | ||
| ±¾Ìû²úÉú 1 ¸ö ÊýѧEPI £¬µã»÷ÕâÀï½øÐв鿴 | ||
sdcyj72½ð³æ (СÓÐÃûÆø)
|
[ÇóÖú]
Ò»µÀÊýѧ·ÖÎöÌâÄ¿ ÒÑÓÐ1È˲ÎÓë
|
|
|
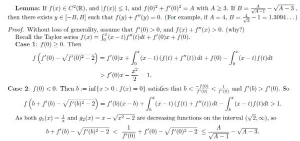
fÔÚ[-2,2]¶þ´ÎÁ¬Ðø¿Éµ¼£¬|f(x)|\leq 1, |f(0)|^2+|f'(0)|^2=4, ÇóÖ¤´æÔÚyʹµÃ f(y)+f''(y)=0 ÎÒµÚÒ»´Î·¢Ìû£¬²»Ì«Çå³þÈçºÎ·¢½ð±Ò¡£ |
» ²ÂÄãϲ»¶
²ÄÁÏÇóµ÷¼Á
ÒѾÓÐ11È˻ظ´
µ÷¼Á
ÒѾÓÐ8È˻ظ´
Çóµ÷¼Á
ÒѾÓÐ17È˻ظ´
²ÄÁϵ÷¼Á
ÒѾÓÐ14È˻ظ´
²ÄÁÏ334Çóµ÷¼Á
ÒѾÓÐ17È˻ظ´
332Çóµ÷¼Á
ÒѾÓÐ16È˻ظ´
331Çóµ÷¼Á
ÒѾÓÐ7È˻ظ´
²ÄÁÏר˶322
ÒѾÓÐ4È˻ظ´
308Çóµ÷¼Á
ÒѾÓÐ11È˻ظ´
»úеר˶274Çóµ÷¼Á£¬²»ÌôרҵѧУ
ÒѾÓÐ7È˻ظ´
» ±¾Ö÷ÌâÏà¹Ø¼ÛÖµÌùÍÆ¼ö£¬¶ÔÄúͬÑùÓаïÖú:
Ò»µÀÓïÑÔѧÌâÄ¿
ÒѾÓÐ5È˻ظ´
Ò»µÀ¿¼ÑÐÕæÌ⡪¡ªÓйؼ¶ÊýµÄ
ÒѾÓÐ4È˻ظ´
Á½µÀ¹ØÓÚÏàÂɵÄÎïÀí»¯Ñ§ÌâÄ¿
ÒѾÓÐ3È˻ظ´
¾ØÕó·ÖÎöÀïµÄÒ»µÀÐýתÇó×ø±ê
ÒѾÓÐ8È˻ظ´
¶àÄê²»¿´ÊýѧÁË£¬ÄÄλ´óÉñ°ïæËãÒ»ÏÂÕâÌâ
ÒѾÓÐ9È˻ظ´
Çó½âÒ»µÀÍØÆËÌâ
ÒѾÓÐ3È˻ظ´
Çë´óʦ°ïæ½â¾öÒ»µÀ³õÖÐÌâ
ÒѾÓÐ6È˻ظ´
ÇóÖúÒ»µÀº¯Êý×î¼Ñ±Æ½üÊÔÌâ
ÒѾÓÐ4È˻ظ´
ÇóÖúÒ»µÀÏß´úÖ¤Ã÷Ìâ°¡
ÒѾÓÐ8È˻ظ´
ÇóÖúÁ½µÀÊýѧÌâÄ¿~Ò»¸öÓëÏßÐÔ´úÊýÓйØ
ÒѾÓÐ15È˻ظ´
Ò»µÀ¸ßÖÐÊýѧÌâ...¸´ÊýZ=4+¸ùºÅÏÂ48³ËÒÔiµÄÄ£|Z|=?
ÒѾÓÐ10È˻ظ´
ÇóÖú½âÒ»µÀ¸ßÖÐÊýѧ·½³ÌÌâ
ÒѾÓÐ8È˻ظ´
¹í¹È×Ó¿¼Í½µÜ¡ª¡ªÒ»µÀ¾µäÂß¼ÍÆ¶ÏÌâ
ÒѾÓÐ38È˻ظ´
ÇóÖúÒ»µÀ´óÆøµÄÌâÄ¿£¬ÊµÔÚ²»»á×ö£¬ÇëÇó´ó¼ÒÄÜΪÎÒ½â´ðÒ»ÏÂ
ÒѾÓÐ7È˻ظ´
ÇóÖú¸ßÖÐÊýѧһÌâ
ÒѾÓÐ3È˻ظ´
ÇóÒ»µÀÊýѧÌâµÄ½â´ð£¬·½·¨²»ÏÞ¡£Ð»Ð»
ÒѾÓÐ17È˻ظ´
¡¾ÇóÖú¡¿Ò»µÀÇó¼«ÏÞµÄÌâÄ¿
ÒѾÓÐ8È˻ظ´
¡¾½»Á÷¡¿´ó¼Ò°ïæ¿´ÏÂÕâµÀÌâ
ÒѾÓÐ7È˻ظ´
¡¾ÇóÖú¡¿Çó½âÒ»µÀ¼¸ºÎÌâÄ¿
ÒѾÓÐ5È˻ظ´
¡¾ÇóÖú¡¿ÇóÖúÒ»µÀÀíÏëÆøÌåìØ±äµÄÌâÄ¿
ÒѾÓÐ4È˻ظ´
hank612
ÖÁ×ðľ³æ (ÖøÃûдÊÖ)
- ÊýѧEPI: 14
- Ó¦Öú: 225 (´óѧÉú)
- ½ð±Ò: 14270.6
- É¢½ð: 1055
- ºì»¨: 95
- Ìû×Ó: 1526
- ÔÚÏß: 1375.8Сʱ
- ³æºÅ: 2530333
- ×¢²á: 2013-07-03
- ÐÔ±ð: GG
- רҵ: ÀíÂۺͼÆË㻯ѧ

4Â¥2013-12-30 01:32:23
hank612
ÖÁ×ðľ³æ (ÖøÃûдÊÖ)
- ÊýѧEPI: 14
- Ó¦Öú: 225 (´óѧÉú)
- ½ð±Ò: 14270.6
- É¢½ð: 1055
- ºì»¨: 95
- Ìû×Ó: 1526
- ÔÚÏß: 1375.8Сʱ
- ³æºÅ: 2530333
- ×¢²á: 2013-07-03
- ÐÔ±ð: GG
- רҵ: ÀíÂۺͼÆË㻯ѧ
¡ï ¡ï ¡ï ¡ï
sdcyj72(feixiaolin´ú·¢): ½ð±Ò+4 2013-12-28 19:15:10
sdcyj72(feixiaolin´ú·¢): ½ð±Ò+4 2013-12-28 19:15:10
|
http://muchong.com/bbs/viewthread.php?tid=6721766&fpage=5 ÆäÖÐÒ»ÌâºÍÄãËùÎʵĺÜÀàËÆ |

2Â¥2013-12-27 13:28:37
¡ï ¡ï
¸Ðл²ÎÓ룬ӦÖúÖ¸Êý +1
sdcyj72(feixiaolin´ú·¢): ½ð±Ò+2 2013-12-28 19:15:26
¸Ðл²ÎÓ룬ӦÖúÖ¸Êý +1
sdcyj72(feixiaolin´ú·¢): ½ð±Ò+2 2013-12-28 19:15:26
|
±¾ÌûÄÚÈݱ»ÆÁ±Î |
3Â¥2013-12-27 13:42:56














»Ø¸´´ËÂ¥