| ²é¿´: 1660 | »Ø¸´: 6 | ||
heyinprc½ð³æ (СÓÐÃûÆø)
|
[ÇóÖú]
¼¸¸öÊýѧ·ÖÎöÎÊÌâÇóÖú
|
¿ª¾íÓÐÒæ |
» ²ÂÄãϲ»¶
085600²ÄÁÏÓ뻯¹¤301·ÖÇóµ÷¼ÁԺУ
ÒѾÓÐ5È˻ظ´
081700£¬311£¬Çóµ÷¼Á
ÒѾÓÐ15È˻ظ´
Ò»Ö¾Ô¸±±¾©»¯¹¤085600 310·ÖÇóµ÷¼Á
ÒѾÓÐ18È˻ظ´
²ÄÁÏÓ뻯¹¤371Çóµ÷¼Á
ÒѾÓÐ14È˻ظ´
336²ÄÁÏÓ뻯¹¤085600Çóµ÷¼Á
ÒѾÓÐ7È˻ظ´
²ÄÁÏ334Çóµ÷¼Á
ÒѾÓÐ18È˻ظ´
331Çóµ÷¼Á
ÒѾÓÐ8È˻ظ´
332Çóµ÷¼Á
ÒѾÓÐ17È˻ظ´
Ò»Ö¾Ô¸ÄϾ©º½¿Õº½Ìì´óѧ ²ÄÁÏÓ뻯¹¤329·ÖÇóµ÷¼Á
ÒѾÓÐ4È˻ظ´
²ÄÁÏר˶322
ÒѾÓÐ7È˻ظ´
» ±¾Ö÷ÌâÏà¹Ø¼ÛÖµÌùÍÆ¼ö£¬¶ÔÄúͬÑùÓаïÖú:
¹ØÓÚ·½²î·ÖÎöµÄ4µãÒÉÎÊ£¡£¡£¡¼±Çó´ó¼ÒµÄ°ïÖú£¡
ÒѾÓÐ3È˻ظ´
ÄÄλ´óÉñÄÜÇó½âÒ»ÏÂÕâ¸ö»ý·ÖÎÊÌâ
ÒѾÓÐ13È˻ظ´
¶ÔÓÚudsµÄ¶ÔÁ÷ÏîÉèÖÃÎÊÌâ~
ÒѾÓÐ4È˻ظ´
ÇóÖúÊýѧ´óÉñ ÈçºÎ×öͼÏñµÄÏàËÆÐÔ·ÖÎö
ÒѾÓÐ5È˻ظ´
±ÏÉ裬ÊýѧÏà¹Ø×¨Òµ£¬ÇóÖ¸µ¼£¡
ÒѾÓÐ18È˻ظ´
¡¾ÇóÖú¡¿¸´·ÖÎöµÄÈëÃÅÊé¼®
ÒѾÓÐ5È˻ظ´
¡¾ÇóÖú¡¿Êý¾Ý·ÖÎöµÄÎÊÌâ
ÒѾÓÐ3È˻ظ´
¡¾ÇóÖú¡¿Çë´ó¼Ò°ïæ·ÖÎöÒ»¸öÓ¢ÓïÃû´Ê£¬Ð»Ð»£¡
ÒѾÓÐ9È˻ظ´
¡¾ÇóÖú¡¿»Ø¹é·ÖÎö¡¾Òѽâ¾ö¡¿
ÒѾÓÐ4È˻ظ´
¡¾ÇóÖú¡¿ÈçºÎ½øÐÐÊý¾Ý·ÖÎö
ÒѾÓÐ12È˻ظ´
¡¾ÇóÖú¡¿Õâ×éÊý¾ÝÓ¦¸ÃÈçºÎ·ÖÎö
ÒѾÓÐ6È˻ظ´
¡¾ÇóÖú¡¿ÈçºÎÓÉÑù±¾½øÐÐͳ¼Æ·ÖÎö
ÒѾÓÐ8È˻ظ´
¡¾ÇóÖú¡¿Æ«Ïà¹Ø·ÖÎö
ÒѾÓÐ3È˻ظ´
¡¾ÇóÖú¡¿ÊµÑéÊý¾Ý·ÖÎöÎÊÌâ
ÒѾÓÐ6È˻ظ´
qy_fighting
ͳæ (³õÈëÎÄ̳)
- Ó¦Öú: 5 (Ó×¶ùÔ°)
- ½ð±Ò: 317.2
- ºì»¨: 1
- Ìû×Ó: 47
- ÔÚÏß: 41.4Сʱ
- ³æºÅ: 2568847
- ×¢²á: 2013-07-27
- ÐÔ±ð: GG
- רҵ: ´úÊýѧ
¡¾´ð°¸¡¿Ó¦Öú»ØÌû
¡ï ¡ï ¡ï ¡ï ¡ï ¡ï ¡ï ¡ï ¡ï ¡ï ¡ï ¡ï ¡ï ¡ï ¡ï
¸Ðл²ÎÓ룬ӦÖúÖ¸Êý +1
heyinprc(feixiaolin´ú·¢): ½ð±Ò+10 2013-12-10 07:50:41
heyinprc: ½ð±Ò+5, ¡ï¡ï¡ïºÜÓаïÖú, 1£©Óë3£©ÎÒȷʵÊÇÕâÑùдµÄ£¬²»¹ý1£©ÎÒ¾õµÃ×Ô¼ºÕâÑùдºÃÏñ²»Ì«ÑϽ÷¡£ 2013-12-10 21:01:22
¸Ðл²ÎÓ룬ӦÖúÖ¸Êý +1
heyinprc(feixiaolin´ú·¢): ½ð±Ò+10 2013-12-10 07:50:41
heyinprc: ½ð±Ò+5, ¡ï¡ï¡ïºÜÓаïÖú, 1£©Óë3£©ÎÒȷʵÊÇÕâÑùдµÄ£¬²»¹ý1£©ÎÒ¾õµÃ×Ô¼ºÕâÑùдºÃÏñ²»Ì«ÑϽ÷¡£ 2013-12-10 21:01:22
|
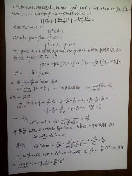
1£©¿¼ÂÇg(x)=[f(x)]^2+[f'(x)]^2 2) ½áºÏÒ»ÖÂÊÕÁ²ÐÔ£¬ºÍParseval¶¨Àí 3£©bn=1/Sn ,Sn=a1+a2+,...,+an Ó¦¸Ã¿ÉÒÔ°É |
2Â¥2013-12-09 00:33:06
¸Ðл²ÎÓ룬ӦÖúÖ¸Êý +1
|
±¾ÌûÄÚÈݱ»ÆÁ±Î |
3Â¥2013-12-09 11:01:23
heyinprc
½ð³æ (СÓÐÃûÆø)
- Ó¦Öú: 1 (Ó×¶ùÔ°)
- ½ð±Ò: 4588.2
- É¢½ð: 36
- ºì»¨: 1
- Ìû×Ó: 82
- ÔÚÏß: 138.4Сʱ
- ³æºÅ: 822838
- ×¢²á: 2009-08-05
- ÐÔ±ð: GG
- רҵ: Ô˳ïѧ
4Â¥2013-12-10 21:02:19
hank612
ÖÁ×ðľ³æ (ÖøÃûдÊÖ)
- ÊýѧEPI: 14
- Ó¦Öú: 225 (´óѧÉú)
- ½ð±Ò: 14270.6
- É¢½ð: 1055
- ºì»¨: 95
- Ìû×Ó: 1526
- ÔÚÏß: 1375.8Сʱ
- ³æºÅ: 2530333
- ×¢²á: 2013-07-03
- ÐÔ±ð: GG
- רҵ: ÀíÂۺͼÆË㻯ѧ
¡¾´ð°¸¡¿Ó¦Öú»ØÌû
¡ï ¡ï ¡ï ¡ï ¡ï
¸Ðл²ÎÓ룬ӦÖúÖ¸Êý +1
heyinprc(feixiaolin´ú·¢): ½ð±Ò+5 2013-12-11 20:28:29
¸Ðл²ÎÓ룬ӦÖúÖ¸Êý +1
heyinprc(feixiaolin´ú·¢): ½ð±Ò+5 2013-12-11 20:28:29
|
µÚ¶þÌ⣺ ÀûÓà Sum_{n=1}^Infinity n* x^n = x/ (1-x)^2, Ö¤Ã÷ f(0)= e/ (e-1)^2 > 2/e; f(Pi) = - e/ (e+1)^2. ½øÒ»²½Ö¤Ã÷ ´æÔÚ0<x<Pi ʹµÃ f¡¯(x)= ( f(0)-f(Pi) ) /Pi = 2e/Pi * (e^2+1)/(e^2-1) > 2e/Pi. µÚÒ»Ì⣺ÎÒÃǼÙÉèÃüÌâ²»³ÉÁ¢£¬ ²»·ÁÉèf(x) + f¡¯¡¯(x) >0. (·ñÔò¿ÉÒÔ¿¼ÂÇh(x)= -f(x), ËüÂú×ãͬÑù¼ÙÉè, µ«ÊÇ h(x)+ h¡¯¡¯(x) >0 ). ²»·ÁÉè f¡¯(0) >0, ·ñÔò¿ÉÒÔ¿¼ÂÇ f(-x). ¿¼ÂǺ¯Êý g(x):= Integral_0^x [(x-t)*f(t)] dt + f(x)- f(0) -x * f¡¯(0). Õâ¸öº¯ÊýÊÇÌØÒâÉè¼ÆÂú×ã g(0)=g¡¯(0)=0, g¡¯¡¯(x)= f(x) +f¡±(x). g¡¯¡¯(x) >0 Ö¸ g(x) ÊÇ͹º¯Êý£¬ ÔÚRÉÏÓÐΨһ×îСֵ g(0)=0. ¼Çf¡¯(0)=a. ¿¼ÂÇ x=a, ÄÇô g(a)>0 ÒÔ¼° |f(x)| <=1 ÍÆ³ö Integral_0^ a (a -t)dt > f(0) -f(a) + a^2. ¼´ 1/2*a^2 > f(0) -f(a) + a^2. Èç¹û f(0) >=0, , f(a) > f(0)/2 + ( f(0) + a^2)/2 >=2, ²»¿ÉÄܵġ£ ËùÒÔ f(0) <0. Õâʱ£¬Ò»¸ö͹º¯ÊýÔÚÉÏÉý¶ÎÖ»ÄÜÔ½ÉýÔ½¿ì£¬ÎÒÃǶÏÑÔ´æÔÚf(d)=0 ²¢ÇÒ d>0. Èç¹ûÈ¡d ʹµÃf(x)ÔÚ(0, d) Ö®¼äÔÙÎÞÁãµã£¬ ÄÇô f¡¯(d) > f¡¯(0)> sqrt(3) >d >0. Õâʱ¿¼ÂÇ Integral_d^ x [(x-t)*f(t)] dt + f(x)- f(d) -x * f¡¯(d). ²¢ÇÒÈ¡ x=f¡¯(d), ÄÇôӦ¸ÃÓÐ f ( f¡¯(d)) > 1/2 * f¡¯(d)^2. ÕâÊDz»¿ÉÄܵġ£ ÕâÃãÇ¿ËãÊǸöÆßÆ´°Ë´ÕµÄ½â´ð°É¡£ |

5Â¥2013-12-11 00:30:41
ÃÔʧµÄÐÄ
ͳæ (³õÈëÎÄ̳)
- Ó¦Öú: 3 (Ó×¶ùÔ°)
- ½ð±Ò: 146.9
- Ìû×Ó: 37
- ÔÚÏß: 35.5Сʱ
- ³æºÅ: 2526371
- ×¢²á: 2013-06-29
- רҵ: ¼ÆËãÊýѧÓë¿ÆÑ§¹¤³Ì¼ÆËã

6Â¥2013-12-11 22:04:00
heyinprc
½ð³æ (СÓÐÃûÆø)
- Ó¦Öú: 1 (Ó×¶ùÔ°)
- ½ð±Ò: 4588.2
- É¢½ð: 36
- ºì»¨: 1
- Ìû×Ó: 82
- ÔÚÏß: 138.4Сʱ
- ³æºÅ: 822838
- ×¢²á: 2009-08-05
- ÐÔ±ð: GG
- רҵ: Ô˳ïѧ
7Â¥2013-12-11 22:11:07














»Ø¸´´ËÂ¥
5