| 查看: 1895 | 回复: 13 | |||
[求助]
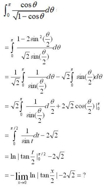
哪位大神能求解一下这个积分问题
|
|||
|
|
|||
|
2楼2013-10-05 20:11:02
|
|
||
tryhard木虫 (著名写手)
|
|||
![]() |
|||
|
3楼2013-10-05 21:14:41
|
|
||
feixiaolin荣誉版主 (文坛精英)
|
|||
|
4楼2013-10-05 21:28:05
|
|
||
sishijing新虫 (小有名气)
|
|||
|
5楼2013-10-06 02:38:59
|
|
||
navolo木虫 (正式写手)
|
【答案】应助回帖
★ ★ ★ ★ ★ ★ ★ ★ ★ ★ ★ ★ ★ ★ ★
感谢参与,应助指数 +1 linminyiyi: 金币+15, ★★★很有帮助 2013-10-07 10:17:05
|
||
|
6楼2013-10-06 10:02:07
|
|
||
Mr__Right专家顾问 (著名写手)
|
|||
![]() |
|||
|
7楼2013-10-06 10:21:54
|
|
||
Mr__Right专家顾问 (著名写手)
|
|||
![]() |
|||
|
8楼2013-10-06 10:22:34
|
|
||
Mr__Right专家顾问 (著名写手)
|
|||
![]() |
|||
|
9楼2013-10-06 10:24:00
|
|
||
wyydxs新虫 (正式写手)
|
|||
|
10楼2013-10-06 10:37:46
|
|













回复此楼



10