| 查看: 1248 | 回复: 18 | |||
wys2013木虫 (著名写手)
|
[求助]
积分问题求助
|
|
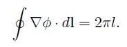
文献说由于波函数Psi(如下所示)的单值性,下面这个积分必须是2*pi*l,l是个整数,不明白为什么,请指教,谢谢. `X6NNDU~KA8}C%W1O@5]AXN.jpg $~CJFNGAFOW5KICN$1{(9$1.jpg [ Last edited by wys2013 on 2013-12-7 at 15:31 ] |
» 猜你喜欢
本科新能源科学与工程,一志愿华理能动285求调剂
已经有5人回复
一志愿华北电力大学能动专硕,293,求调剂
已经有5人回复
调剂310
已经有7人回复
食品工程专硕一志愿中海洋309求调剂
已经有6人回复
275求调剂
已经有14人回复
283求调剂
已经有3人回复
085602 化工专硕 338分 求调剂
已经有12人回复
312,生物学求调剂
已经有3人回复
化学0703 调剂 306分 一志愿211
已经有4人回复
311(085601)求调剂
已经有3人回复
» 本主题相关价值贴推荐,对您同样有帮助:
matlab,小问题求助
已经有3人回复
求助 一个基础问题 谢谢大家帮助 5分奖励
已经有6人回复
求助一个关于计算磁阻的定积分
已经有4人回复
核磁分峰积分问题
已经有8人回复
求助大家关于气相色谱中拖尾峰积分的问题和减小分离后期存在固定相流失问题
已经有4人回复
matlab 积分求助
已经有8人回复
高效液相图谱积分问题
已经有8人回复
请教一个Mathematica积分的问题(重金求解)
已经有6人回复
Mathematica 积分的疑问?
已经有11人回复
【求助】matlab求解一个简单的积分(急!!!)
已经有7人回复
【求助】delta函数平方后积分
已经有5人回复
【求助】数学积分
已经有29人回复
【求助】色谱不积分是什么原因?
已经有10人回复
【求助】积分微分方程matlab求解
已经有6人回复
【求助】电流与积分不符问题
已经有3人回复
【求助】曲线积分问题
已经有6人回复
【求助】求积分程序中被积函数问题
已经有15人回复
【求助】请教高手关于核磁谱中积分的一个问题
已经有10人回复
【求助】一个二重积分问题【已解决】
已经有17人回复
【求助】只知道有限个函数值求积分
已经有10人回复
【求助】紧急求助有关MATHEMATICA的问题
已经有9人回复
feixiaolin
荣誉版主 (文坛精英)
-

专家经验: +518 - 应助: 942 (博后)
- 贵宾: 1.275
- 金币: 3880
- 散金: 58785
- 红花: 532
- 沙发: 11
- 帖子: 24215
- 在线: 2601.8小时
- 虫号: 2139575
- 注册: 2012-11-21
- 专业: 光学信息获取与处理
- 管辖: 数学
2楼2013-12-07 16:13:33
wys2013
木虫 (著名写手)
- 应助: 6 (幼儿园)
- 金币: 8436.8
- 散金: 5
- 红花: 1
- 帖子: 2072
- 在线: 92.9小时
- 虫号: 2243470
- 注册: 2013-01-16
- 专业: 汉语研究
3楼2013-12-07 17:26:43
feixiaolin
荣誉版主 (文坛精英)
-

专家经验: +518 - 应助: 942 (博后)
- 贵宾: 1.275
- 金币: 3880
- 散金: 58785
- 红花: 532
- 沙发: 11
- 帖子: 24215
- 在线: 2601.8小时
- 虫号: 2139575
- 注册: 2012-11-21
- 专业: 光学信息获取与处理
- 管辖: 数学
4楼2013-12-07 19:07:41
wys2013
木虫 (著名写手)
- 应助: 6 (幼儿园)
- 金币: 8436.8
- 散金: 5
- 红花: 1
- 帖子: 2072
- 在线: 92.9小时
- 虫号: 2243470
- 注册: 2013-01-16
- 专业: 汉语研究
5楼2013-12-07 21:21:13
wys2013
木虫 (著名写手)
- 应助: 6 (幼儿园)
- 金币: 8436.8
- 散金: 5
- 红花: 1
- 帖子: 2072
- 在线: 92.9小时
- 虫号: 2243470
- 注册: 2013-01-16
- 专业: 汉语研究
6楼2013-12-07 21:22:17
feixiaolin
荣誉版主 (文坛精英)
-

专家经验: +518 - 应助: 942 (博后)
- 贵宾: 1.275
- 金币: 3880
- 散金: 58785
- 红花: 532
- 沙发: 11
- 帖子: 24215
- 在线: 2601.8小时
- 虫号: 2139575
- 注册: 2012-11-21
- 专业: 光学信息获取与处理
- 管辖: 数学
7楼2013-12-07 21:43:14
wys2013
木虫 (著名写手)
- 应助: 6 (幼儿园)
- 金币: 8436.8
- 散金: 5
- 红花: 1
- 帖子: 2072
- 在线: 92.9小时
- 虫号: 2243470
- 注册: 2013-01-16
- 专业: 汉语研究
8楼2013-12-07 22:07:57
feixiaolin
荣誉版主 (文坛精英)
-

专家经验: +518 - 应助: 942 (博后)
- 贵宾: 1.275
- 金币: 3880
- 散金: 58785
- 红花: 532
- 沙发: 11
- 帖子: 24215
- 在线: 2601.8小时
- 虫号: 2139575
- 注册: 2012-11-21
- 专业: 光学信息获取与处理
- 管辖: 数学
9楼2013-12-08 09:43:54
wys2013
木虫 (著名写手)
- 应助: 6 (幼儿园)
- 金币: 8436.8
- 散金: 5
- 红花: 1
- 帖子: 2072
- 在线: 92.9小时
- 虫号: 2243470
- 注册: 2013-01-16
- 专业: 汉语研究
10楼2013-12-08 12:56:26














回复此楼