版块导航
正在加载中...
客户端APP下载
论文辅导
申博辅导
登录
注册
帖子
帖子
用户
本版
应《网络安全法》要求,自2017年10月1日起,未进行实名认证将不得使用互联网跟帖服务。为保障您的帐号能够正常使用,请尽快对帐号进行手机号验证,感谢您的理解与支持!
24小时热门版块排行榜
>
论坛更新日志
(2892)
>
虫友互识
(270)
>
文献求助
(140)
>
导师招生
(137)
>
硕博家园
(67)
>
休闲灌水
(62)
>
博后之家
(53)
>
教师之家
(49)
>
论文投稿
(41)
>
考博
(38)
>
招聘信息布告栏
(29)
>
绿色求助(高悬赏)
(27)
>
基金申请
(20)
>
考研
(20)
>
论文道贺祈福
(19)
>
公派出国
(18)
小木虫论坛-学术科研互动平台
»
计算模拟区
»
程序语言
»
MATLAB/Mathematica
»
matlab求解积分方程组
3
1/1
返回列表
查看: 807 | 回复: 2
只看楼主
@他人
存档
新回复提醒
(忽略)
收藏
在APP中查看
mickey118
木虫
(小有名气)
应助: 1
(幼儿园)
金币: 3634.8
散金: 117
红花: 4
帖子: 283
在线: 406.3小时
虫号: 529321
注册: 2008-03-20
性别:
MM
专业: 半导体晶体与薄膜材料
[
求助
]
matlab求解积分方程组
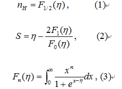
带有符号的积分方程组怎么编程啊?求助高手附件方程组的编程;
可以直接用solve(int(equ))来计算么?其中第一个积分式子好像是没有解析解的。
新手,一头雾水中。。。
matlab equation.png
回复此楼
» 猜你喜欢
垃圾破二本职称评审标准
已经有17人回复
职称评审没过,求安慰
已经有30人回复
回收溶剂求助
已经有6人回复
投稿Elsevier的Neoplasia杂志,到最后选publishing options时页面空白,不能完成投稿
已经有22人回复
申请26博士
已经有5人回复
EST投稿状态问题
已经有7人回复
毕业后当辅导员了,天天各种学生超烦
已经有4人回复
聘U V热熔胶研究人员
已经有10人回复
求助文献
已经有3人回复
投稿返修后收到这样的回复,还有希望吗
已经有8人回复
» 本主题相关价值贴推荐,对您同样有帮助:
用matlab求解非线性方程组说无解,一定是方程组本身无解,还是有可能程序有问题呢?
已经有11人回复
matlab如何求解一个非线性微分方程组
已经有8人回复
MATLAB求解非线性方程组
已经有5人回复
matlab解非线性方程组解不开
已经有3人回复
求Matlab高手解决线性方程组的迭代求解问题
已经有17人回复
如何用matlab求解矩阵系数的二阶微分方程
已经有13人回复
matlab求解非线性方程组,错误提示怎么解决
已经有5人回复
matlab求解偏微分方程组
已经有3人回复
求助 MATLAB解方程组-fslove
已经有7人回复
matlab有限差分法求解复杂的偏微分方程组
已经有19人回复
matlab微分方程组参数拟合,以周为单位求解,汇总后以年为单位进行数值比较
已经有4人回复
Matlab求解偏微分方程组
已经有22人回复
matlab求解非线性方程组
已经有16人回复
matlab数值求解边界条件微分方程组
已经有7人回复
高金求助matlab解微分方程组
已经有12人回复
matlab解微分方程组
已经有15人回复
求matlab求解一个方程组的问题
已经有6人回复
求高人指点用matlab求解非线性方程组,解决了追加100金币;
已经有11人回复
matlab的fsove 命令求解非线性方程组
已经有6人回复
求解积分方程组!
已经有9人回复
【求助】向各位大侠求助matlab求解微分方程组遇到的一个问题
已经有21人回复
【求助】matlab求解非线性方程组,并画图处理。要求y,z是实数解!
已经有18人回复
【求助】MATLAB 有限差分法(FDM)求解偏微分方程
已经有22人回复
【求助】积分微分方程matlab求解
已经有6人回复
【求助】matlab怎么求解偏微分方程组啊,先谢谢了
已经有13人回复
【求助】求教matlab解非线性方程组
已经有9人回复
1楼
2013-06-22 10:32:37
已阅
回复此楼
关注TA
给TA发消息
送TA红花
TA的回帖
mickey118
木虫
(小有名气)
应助: 1
(幼儿园)
金币: 3634.8
散金: 117
红花: 4
帖子: 283
在线: 406.3小时
虫号: 529321
注册: 2008-03-20
性别:
MM
专业: 半导体晶体与薄膜材料
求S关于nH的函数,或曲线(nH是横坐标,S是纵坐标)
赞
一下
回复此楼
2楼
2013-06-22 10:34:57
已阅
回复此楼
关注TA
给TA发消息
送TA红花
TA的回帖
mickey118
木虫
(小有名气)
应助: 1
(幼儿园)
金币: 3634.8
散金: 117
红花: 4
帖子: 283
在线: 406.3小时
虫号: 529321
注册: 2008-03-20
性别:
MM
专业: 半导体晶体与薄膜材料
已经自行解决了。用数值积分得到三组数据,然后在origin中做曲线。
赞
一下
回复此楼
3楼
2013-06-23 20:43:17
已阅
回复此楼
关注TA
给TA发消息
送TA红花
TA的回帖
相关版块跳转
第一性原理
量子化学
计算模拟
分子模拟
仿真模拟
程序语言
我要订阅楼主
mickey118
的主题更新
3
1/1
返回列表
如果回帖内容含有宣传信息,请如实选中。否则帐号将被全论坛禁言
普通表情
龙
兔
虎
猫
百度网盘
|
360云盘
|
千易网盘
|
华为网盘
在新窗口页面中打开自己喜欢的网盘网站,将文件上传后,然后将下载链接复制到帖子内容中就可以了。
信息提示
关闭
请填处理意见
关闭
确定