版块导航
正在加载中...
客户端APP下载
论文辅导
申博辅导
登录
注册
帖子
帖子
用户
本版
应《网络安全法》要求,自2017年10月1日起,未进行实名认证将不得使用互联网跟帖服务。为保障您的帐号能够正常使用,请尽快对帐号进行手机号验证,感谢您的理解与支持!
24小时热门版块排行榜
>
论坛更新日志
(3715)
>
文献求助
(392)
>
虫友互识
(390)
>
休闲灌水
(339)
>
导师招生
(250)
>
考博
(104)
>
博后之家
(99)
>
招聘信息布告栏
(96)
>
硕博家园
(75)
>
论文投稿
(65)
>
教师之家
(59)
>
基金申请
(58)
>
考研
(42)
>
外文书籍求助
(31)
>
公派出国
(31)
>
绿色求助(高悬赏)
(30)
小木虫论坛-学术科研互动平台
»
专业学科区
»
数学
»
数学综合
»
帮忙看一个式子,谢谢!!!
4
1/1
返回列表
查看: 601 | 回复: 3
只看楼主
@他人
存档
新回复提醒
(忽略)
收藏
在APP中查看
zslfw5222
新虫
(小有名气)
应助: 0
(幼儿园)
金币: 1057.2
散金: 54
帖子: 240
在线: 132.1小时
虫号: 970632
注册: 2010-03-14
专业: 偏微分方程
[
求助
]
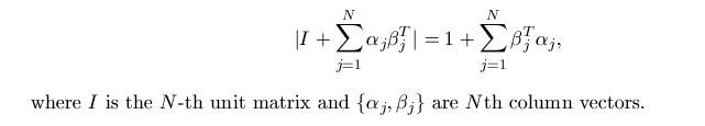
帮忙看一个式子,谢谢!!!
不知道这个式子是否成立?成立的话该怎么证明?
未命名.jpg
回复此楼
» 猜你喜欢
全日制(定向)博士
已经有5人回复
假如你的研究生提出不合理要求
已经有10人回复
萌生出自己或许不适合搞科研的想法,现在跑or等等看?
已经有4人回复
Materials Today Chemistry审稿周期
已经有4人回复
参与限项
已经有3人回复
实验室接单子
已经有4人回复
对氯苯硼酸纯化
已经有3人回复
求助:我三月中下旬出站,青基依托单位怎么办?
已经有12人回复
所感
已经有4人回复
要不要辞职读博?
已经有7人回复
» 本主题相关价值贴推荐,对您同样有帮助:
Mexwell 方程中 倒三角代表的是什么
已经有7人回复
materials letters 审稿意见大家帮忙看一下啊,谢谢
已经有17人回复
新人,成都F1签证请大家帮忙看一下我这是不是被行政审查了,并说一下解决办法!谢谢
已经有5人回复
大家帮忙看看电子与信息学报的外审意见,谢谢!!
已经有16人回复
请大家帮忙翻译一个文章标题(英译汉),谢谢了!
已经有1人回复
请教一个简单的流体力学方程问题
已经有3人回复
求大侠帮忙解决一个B类错误!!谢谢
已经有5人回复
一个关于协同ARQ的中文摘要,请帮忙翻译一下,谢谢
已经有2人回复
帮忙看一下几句话的英文翻译。谢谢!水处理类。帮忙改一下语法和结构。BB
已经有5人回复
请帮忙用Matlab算一下附件中式子的结果,有急用,谢谢!
已经有6人回复
请帮忙看一下两句中译英是否恰当,谢谢!
已经有6人回复
请大家帮忙看下这个CT检查单子,谢谢!!!
已经有4人回复
请帮忙检查公式推导
已经有5人回复
帮忙选择一个专业硕士的好专业吧,谢谢
已经有16人回复
请帮忙定位一个红外吸收峰,谢谢
已经有4人回复
帮忙修改一段翻译!谢谢!
已经有3人回复
【求助】请教一个matlab程序,谢谢帮忙!!
已经有15人回复
求助--投过science of the total environment 的前辈帮忙看一下,谢谢
已经有7人回复
【求助】请大家帮忙分析一个英语名词,谢谢!
已经有9人回复
请帮忙一句话翻译,急啊
已经有2人回复
大家帮忙看看,怎么回答,谢谢。
已经有11人回复
【求助】请教一个数据处理问题
已经有11人回复
1楼
2013-02-18 15:34:47
已阅
回复此楼
关注TA
给TA发消息
送TA红花
TA的回帖
wurongjun
专家顾问
(职业作家)
专家经验: +831
数学EPI: 9
应助: 791
(博后)
贵宾: 0.308
金币: 24609
散金: 310
红花: 75
帖子: 3004
在线: 881.2小时
虫号: 1368482
注册: 2011-08-14
性别: GG
专业: 计算数学与科学工程计算
管辖:
数学
【答案】应助回帖
★ ★
感谢参与,应助指数 +1
zslfw5222: 金币+2
2013-02-20 22:16:42
这个式子正确!
单位阵I的n个特征值为:1,1,1,...1,1.
另外那个矩阵的特征值为:0,0...,0,ΣβTjαj.(最后一个非零!这个结果在以前的帖子里有过!!)
所以要求行列式的那个矩阵的特征值为:1,1,1,...1,1+ΣβTjαj.(对应相加)
行列式的值等于所有特征值的乘积:1+ΣβTjαj.
赞
一下
回复此楼
善恶到头终有报,人间正道是沧桑.
2楼
2013-02-18 20:00:55
已阅
回复此楼
关注TA
给TA发消息
送TA红花
TA的回帖
zslfw5222
新虫
(小有名气)
应助: 0
(幼儿园)
金币: 1057.2
散金: 54
帖子: 240
在线: 132.1小时
虫号: 970632
注册: 2010-03-14
专业: 偏微分方程
引用回帖:
2楼
:
Originally posted by
wurongjun
at 2013-02-18 20:00:55
这个式子正确!
单位阵I的n个特征值为:1,1,1,...1,1.
另外那个矩阵的特征值为:0,0...,0,ΣβTjαj.(最后一个非零!这个结果在以前的帖子里有过!!)
所以要求行列式的那个矩阵的特征值为:1,1,1,...1,1+ΣβTjαj.(对 ...
谢谢你的回复,不过你说的:另外那个矩阵的特征值为:0,0...,0,ΣβTjαj,是不成立的。如果N=1(求和数为1,抱歉,这里我将矩阵阶数和求和数混起来了),那么你说的是正确的。而且,这个公式只有当求和数为1时成立。
赞
一下
回复此楼
3楼
2013-02-20 22:15:31
已阅
回复此楼
关注TA
给TA发消息
送TA红花
TA的回帖
wuhanzhi
金虫
(小有名气)
应助: 11
(小学生)
金币: 636.6
帖子: 161
在线: 8.5小时
虫号: 2002440
注册: 2012-09-15
专业: 信息安全
【答案】应助回帖
感谢参与,应助指数 +1
我也没搞懂,在此询问另一问题,请高手帮忙解答。此外,想咨询一下如何发这种求助帖,我也有问题想请人帮忙解答,但因为新手,发不来求助帖,哎呀,还有请教图片怎么上传呢?谢谢解答啊!
赞
一下
回复此楼
4楼
2013-02-20 22:38:47
已阅
回复此楼
关注TA
给TA发消息
送TA红花
TA的回帖
相关版块跳转
数理科学综合
机械
物理
数学
农林
食品
地学
能源
信息科学
土木建筑
航空航天
转基因
我要订阅楼主
zslfw5222
的主题更新
4
1/1
返回列表
如果回帖内容含有宣传信息,请如实选中。否则帐号将被全论坛禁言
普通表情
龙
兔
虎
猫
百度网盘
|
360云盘
|
千易网盘
|
华为网盘
在新窗口页面中打开自己喜欢的网盘网站,将文件上传后,然后将下载链接复制到帖子内容中就可以了。
信息提示
关闭
请填处理意见
关闭
确定