| ²é¿´: 867 | »Ø¸´: 5 | |||
yanweicumtÒø³æ (СÓÐÃûÆø)
|
[½»Á÷]
Çë°ïæ¼ì²é¹«Ê½ÍƵ¼ ÒÑÓÐ2È˲ÎÓë
|
|
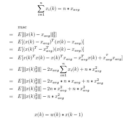
ÕâÊÇÎÒÍÆµ¼µÄÒ»¸öµü´úº¯ÊýµÄmse£¬Çë´ó¼Ò°ïæ¼ì²é¡£ ÆäÖÐx£¨k£©ÊǵÚk´Îµü´úʱ£¬½ÚµãµÄ²âÁ¿Öµ£¬xavgÊÇËùÓнڵãµÄƽ¾ùÖµ£¬sum_{i=1}^{n}x_{i}(k)=n*xavg. [img]mse=E[||x(k)-xavg||_{2}^{2}]=E[(x(k)-xavg)^{T}(x(k)-xavg)] =E[(x(k)^{T}-xavg^{T})(x(k)-xavg)]=E[x(k)^{T}x(k)-x(k)^{T}xavg-xavg^{T}x(k)+xavg^{^{T}}xavg]=E[||x(k)_{2}^{2}||]-2xavg\sum_{i=1}^{n}x_{i}(k)+xavg^{2}=E[||x(k)_{2}^{2}||]-2xavg*N*xavg=E[||x(k)_{2}^{2}||]-2n*xavg^{2}+xavg^{2}=E[||x(k)_{2}^{2}||]-(2n-1)xavg^{2}[/img] ÒòΪ£¬ÎÒÒªÇóminimize Õâ¸ömseµÄÖµ£¬ËùÒÔ¾ÍҪʹµÃE[||x(k)_{2}^{2}||]×îС£¬¶øx(k)=w(k)x(k-1),ÊǸöµü´úº¯Êý£¬w(k)ÊǸöË«Ëæ»ú¾ØÕó£¬Ò²¼´ÊÇÐÐÏòÁ¿ºÍÁÐÏòÁ¿µÄºÍ¶¼Îª1£¬ÄÇÓÐÄÄЩÊýѧ֪ʶ¿ÉÒÔÓÃÀ´Ê¹µÃE[||x(k)_{2}^{2}||]×îС»¯ÄØ£¬»òÕßʹËûСÓÚÒ»¸öʲôÑùµÄ´ø²ÎÊýµÄÌØÕ÷ÖµµÈµÈ¡£ Çë¸÷λѧÊýѧµÄ¸øÖ§¸öÕУ¬Ð»Ð»ÁË£¡ ÎÒÓÃÂÛ̳ÀïÃæµÄÍøÉϹ«Ê½±à¼Æ÷±à¼µÄ¹«Ê½£¬¿ÉÊÇ»¹ÊÇÏÔʾ²»³öÀ´£¬´ó¼ÒÓÐËÖªµÀ¸ÃÔõôÏÔʾ£¬Âé·³Çë¸æÖªÒ»Ï£¬ÎҸĹýÀ´£¬·½±ã´ó¼ÒÔĶÁ£¬Ð»Ð»ÁË£¡£¡ [ Last edited by soliton923 on 2011-8-16 at 00:26 ] |
» ²ÂÄãϲ»¶
»úе¹¤³Ì264ѧ˶Çóµ÷¼Á
ÒѾÓÐ3È˻ظ´
264Çóµ÷¼Á
ÒѾÓÐ9È˻ظ´
Çóµ÷¼Á
ÒѾÓÐ6È˻ظ´
22408 266Çóµ÷¼Á
ÒѾÓÐ7È˻ظ´
Çóµ÷¼Á
ÒѾÓÐ14È˻ظ´
273Çóµ÷¼Á
ÒѾÓÐ43È˻ظ´
307Çóµ÷¼Á
ÒѾÓÐ13È˻ظ´
327Çóµ÷¼Á
ÒѾÓÐ7È˻ظ´
338Çóµ÷¼Á
ÒѾÓÐ6È˻ظ´
326·Ö£¬Ò»Ö¾Ô¸»¦9£¬ÇóÉúÎïѧµ÷¼Á
ÒѾÓÐ3È˻ظ´
» ±¾Ö÷ÌâÏà¹Ø¼ÛÖµÌùÍÆ¼ö£¬¶ÔÄúͬÑùÓаïÖú:
äÉó²©Ê¿ÂÛÎÄ
ÒѾÓÐ1È˻ظ´
Çë°ïæ¼ì²é¹«Ê½ÍƵ¼
ÒѾÓÐ2È˻ظ´
inhaul
гæ (ÕýʽдÊÖ)
- ÊýѧEPI: 1
- Ó¦Öú: 38 (СѧÉú)
- ¹ó±ö: 0.001
- ½ð±Ò: 6972.5
- É¢½ð: 900
- ºì»¨: 5
- Ìû×Ó: 796
- ÔÚÏß: 584.6Сʱ
- ³æºÅ: 1011659
- ×¢²á: 2010-05-05
¡ï ¡ï ¡ï ¡ï
Сľ³æ(½ð±Ò+0.5):¸ø¸öºì°ü£¬Ð»Ð»»ØÌû
СÓêÃÈÃÈ(½ð±Ò+3): лл»ØÌû 2011-08-17 17:00:00
Сľ³æ(½ð±Ò+0.5):¸ø¸öºì°ü£¬Ð»Ð»»ØÌû
СÓêÃÈÃÈ(½ð±Ò+3): лл»ØÌû 2011-08-17 17:00:00
» ±¾ÌûÒÑ»ñµÃµÄºì»¨£¨×îÐÂ10¶ä£©
2Â¥2011-08-15 10:24:18
yanweicumt
Òø³æ (СÓÐÃûÆø)
- Ó¦Öú: 0 (Ó×¶ùÔ°)
- ½ð±Ò: 394.1
- É¢½ð: 36
- Ìû×Ó: 128
- ÔÚÏß: 32.4Сʱ
- ³æºÅ: 746558
- ×¢²á: 2009-04-12
- רҵ: ͨÐÅÀíÂÛÓëϵͳ
|
ллָÕý£¬Õâ¸öÀïÃæx(k),w(k)¶¼ÊDZäÁ¿£¬kÊǵü´ú´ÎÊý£¬x(k)ÊǽڵãµÄ²âÁ¿ÖµµÄÁÐÏòÁ¿£¬±ÈÈçζÈÖµ°¡£¬Êª¶ÈÖµ°¡£¬Ê²Ã´µÄ£¬x_i(k)±íʾµÚi¸ö½ÚµãµÄ²âÁ¿Öµ£¬w(k)ÊDZíʾÁ´Â·È¨ÖصÄÒ»¸ö¾ØÕó£¬w_ii(k)±íʾi½ÚµãµÄÈ¨ÖØ£¬w_ij(k)±íʾj½Úµã´«ËÍÐÅÏ¢µ½i½ÚµãµÄÁ´Â·µÄÈ¨ÖØ£¬µü´úµÄ¹«Ê½Îªx_i(k+1)=w_ii(k)*x_i(k)+w_ij(k)*x_j(k) ÒòΪw(k)ÊÇÓɽڵã¼äµÄÁ´Â·µÄÏ໥Á¬½ÓÇé¿öµÃµ½£¬¼´ÓÉÍøÂçµÄÍØÆËͼµÃµ½£¬¶øÔÚÒ»°ãµÄÍøÂçÖУ¬Ò»¸ö½Úµã²»¿ÉÄܺÍÿ¸ö½Úµã¶¼´æÔÚÁ´Â·Á¬½Ó£¬ËùÒÔw(k)²»»á³öÏÖÿ¸öÔªËØ¶¼ÊÇ1/nµÄÇé¿ö£¬µ«ÊÇÓ¦¸Ã»á´æÔÚÒ»¸öСÓÚij¸öÖµµÄ¹ØÏµ£¬ÎÒÏëÕÒµ½£¬²»ÖªµÀ¿É·ñ¸øÌṩһµãÏà¹ØµÄÐÅÏ¢ÄØ£¬Ð»Ð»ÁË£¡ |
3Â¥2011-08-15 19:49:21
yanweicumt
Òø³æ (СÓÐÃûÆø)
- Ó¦Öú: 0 (Ó×¶ùÔ°)
- ½ð±Ò: 394.1
- É¢½ð: 36
- Ìû×Ó: 128
- ÔÚÏß: 32.4Сʱ
- ³æºÅ: 746558
- ×¢²á: 2009-04-12
- רҵ: ͨÐÅÀíÂÛÓëϵͳ
4Â¥2011-08-15 19:50:31
inhaul
гæ (ÕýʽдÊÖ)
- ÊýѧEPI: 1
- Ó¦Öú: 38 (СѧÉú)
- ¹ó±ö: 0.001
- ½ð±Ò: 6972.5
- É¢½ð: 900
- ºì»¨: 5
- Ìû×Ó: 796
- ÔÚÏß: 584.6Сʱ
- ³æºÅ: 1011659
- ×¢²á: 2010-05-05
5Â¥2011-08-15 19:59:30
hyit_lxq
ľ³æ (СÓÐÃûÆø)
- Ó¦Öú: 25 (СѧÉú)
- ½ð±Ò: 3153.8
- ºì»¨: 3
- Ìû×Ó: 246
- ÔÚÏß: 134.3Сʱ
- ³æºÅ: 1359114
- ×¢²á: 2011-08-02
- רҵ: ÊýÀíͳ¼Æ
¡ï ¡ï
Сľ³æ(½ð±Ò+0.5):¸ø¸öºì°ü£¬Ð»Ð»»ØÌû
СÓêÃÈÃÈ(½ð±Ò+1): лл»ØÌû 2011-08-17 17:00:20
Сľ³æ(½ð±Ò+0.5):¸ø¸öºì°ü£¬Ð»Ð»»ØÌû
СÓêÃÈÃÈ(½ð±Ò+1): лл»ØÌû 2011-08-17 17:00:20
|
×îºóËĸöµÈʽµÄµÚÒ»ÏîÖУ¬Æ½·½µÄ·¶Êý¾ùӦΪ·¶ÊýµÄƽ·½¡£ |

6Â¥2011-08-17 16:36:23














»Ø¸´´ËÂ¥
yanweicumt