| ²é¿´: 2690 | »Ø¸´: 7 | ||
µÈ×Å´òÑ©ÕÌгæ (³õÈëÎÄ̳)
|
[ÇóÖú]
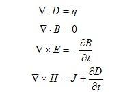
Mexwell ·½³ÌÖÐ µ¹Èý½Ç´ú±íµÄÊÇʲô
|
|
![]() |
||
|
|
||
thomas2000ľ³æ (ÖøÃûдÊÖ)
|
||
|
2Â¥2012-11-02 09:24:37
|
|
|
µÈ×Å´òÑ©ÕÌгæ (³õÈëÎÄ̳)
|
||
![]() |
||
|
3Â¥2012-11-02 10:34:51
|
|
|
ÅÇ»²Ö®Íõͳæ (СÓÐÃûÆø)
|
||
|
4Â¥2012-11-03 12:23:44
|
|
|
zhangtiehaľ³æ (ÕýʽдÊÖ)
|
||
![]() |
||
|
5Â¥2012-11-03 15:19:26
|
|
|
thomas2000ľ³æ (ÖøÃûдÊÖ)
|
¡¾´ð°¸¡¿Ó¦Öú»ØÌû
|
|
|
6Â¥2012-11-03 17:40:07
|
|
|
limmettle½ð³æ (ÕýʽдÊÖ)
|
||
|
7Â¥2012-11-13 00:07:44
|
|
|
|
8Â¥2013-01-15 23:57:00
|
|














»Ø¸´´ËÂ¥
