±±¾©Ê¯ÓÍ»¯¹¤Ñ§Ôº2026ÄêÑо¿ÉúÕÐÉú½ÓÊÕµ÷¼Á¹«¸æ
²é¿´: 485  |  »Ø¸´: 0

ůˮ´ü

½ð³æ (³õÈëÎÄ̳)

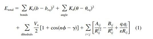
[ÇóÖú] ÇóGromacs/amber/NAMDÖмÆËãamberÁ¦³¡µÄ´úÂë

ÇëÎÊÏÂË­ÖªµÀgromacs»òÕßNAMD¿ªÔ´´úÂëÖмÆËãamberÁ¦³¡ÄǸö¹«Ê½µÄ´úÂë´óÖÂÔÚÄÄÀïÂð£¿ÎÒÕâÍâÐÐÕҵúÃÐÁ¿à¡£¡£¡£¼ÆË㹫ʽҲÒÑÉÏ´«

_BK_4LK55B$8][4[CB6WEZL.jpg
»Ø¸´´ËÂ¥

» ²ÂÄãϲ»¶

ÒÑÔÄ   »Ø¸´´ËÂ¥   ¹Ø×¢TA ¸øTA·¢ÏûÏ¢ ËÍTAºì»¨ TAµÄ»ØÌû

ÖÇÄÜ»úÆ÷ÈË

Robot (super robot)

ÎÒÃǶ¼°®Ð¡Ä¾³æ

ÕÒµ½Ò»Ð©Ïà¹ØµÄ¾«»ªÌû×Ó£¬Ï£ÍûÓÐÓÃŶ~

¿ÆÑдÓСľ³æ¿ªÊ¼£¬ÈËÈËΪÎÒ£¬ÎÒΪÈËÈË
Ïà¹Ø°æ¿éÌø×ª ÎÒÒª¶©ÔÄÂ¥Ö÷ ůˮ´ü µÄÖ÷Ìâ¸üÐÂ
×î¾ßÈËÆøÈÈÌûÍÆ¼ö [²é¿´È«²¿] ×÷Õß »Ø/¿´ ×îºó·¢±í
[¿¼²©] É격 +4 IQwQl 2026-04-04 4/200 2026-04-04 13:57 by ¹¤´óѧ³¤
[¿¼ÑÐ] Ò»Ö¾Ô¸9²ÄÁÏѧ˶297ÒѹýÁù¼¶Çóµ÷¼ÁÍÆ¼ö +6 adaie 2026-04-04 7/350 2026-04-04 13:21 by ms629
[¿¼ÑÐ] 085600£¬×¨Òµ¿Î»¯¹¤Ô­Àí£¬321·ÖÇóµ÷¼Á +10 ´ó²öС×Ó 2026-03-28 10/500 2026-04-04 12:28 by ССÊ÷2024
[¿¼ÑÐ] ²ÄÁϵ÷¼Á +10 Ò»ÑùYWY 2026-04-03 10/500 2026-04-04 12:18 by Î޼ʵIJÝÔ­
[¿¼ÑÐ] 301Çóµ÷¼Á +16 ÂæÍÕÄÐÈË 2026-04-02 16/800 2026-04-04 11:59 by asdhh1991
[¿¼ÑÐ] 085601£¬Ò»Ö¾Ô¸Ïôó334¸´ÊÔ±»Ë¢Çóµ÷¼Á +10 ÔøÑöÖ® 2026-04-03 12/600 2026-04-03 21:41 by zhq0425
[¿¼ÑÐ] ѧ˶288µ÷¼Á!!! +3 СÍõxw123 2026-04-03 3/150 2026-04-03 21:20 by à£à£à£0119
[¿¼ÑÐ] 289-Çóµ÷¼Á +4 ÕâÀïÊÇ_ 2026-04-03 4/200 2026-04-03 14:23 by 1753564080
[¿¼ÑÐ] Ò»Ö¾Ô¸±±¾©½»Í¨´óѧ²ÄÁϹ¤³Ì×Ü·Ö358 +4 cs0106 2026-04-03 4/200 2026-04-03 13:41 by °ÙÁéͯ888
[¿¼ÑÐ] Çóµ÷¼Á +9 akdhjs 2026-03-31 11/550 2026-04-03 13:32 by akdhjs
[¿¼ÑÐ] 320Çóµ÷¼Á +3 ũҵ¹¤³ÌÓëÐÅÏ¢¼ 2026-04-03 3/150 2026-04-03 11:40 by ÍÁľ˶ʿÕÐÉú
[»ù½ðÉêÇë] ÇëÎʹ²Í¬Í¨Ñ¶ºÍ¹²Í¬Ò»×÷µÄÈϿɶÈÎÊÌâ 10+4 psa1234 2026-04-01 10/500 2026-04-03 11:08 by Kittylucky
[¿¼ÑÐ] ÉúÎïѧ˶341Çóµ÷¼Á +4 ÄãЦÆðÀ´ÏñÔÆ¶ä 2026-04-03 4/200 2026-04-03 10:32 by macy2011
[¿¼ÑÐ] 295Çóµ÷¼Á +7 Ô¸ÂÃ;ÓÀԶ̹Ȼ 2026-04-02 7/350 2026-04-03 08:22 by fangshan711
[¿¼²©] É격ÇóÖú +3 Reee1Llll 2026-04-01 3/150 2026-04-02 22:29 by ÕâÊÇÒ»¸öÎÞÁĵÄê
[¿¼ÑÐ] ¡£ +4 ÎíÓ뺣 2026-04-02 5/250 2026-04-02 19:16 by ÍÁľ˶ʿÕÐÉú
[¿¼ÑÐ] Ò»Ö¾Ô¸±±¾©¿Æ¼¼´óѧ085601²ÄÁϹ¤³ÌÓ¢Ò»Êý¶þ³õÊÔ×Ü·Ö335Çóµ÷¼Á +9 Ë«ÂíβƦÀϰå2 2026-04-01 9/450 2026-04-02 12:14 by oooqiao
[¿¼ÑÐ] °²È«¹¤³Ì 285 Çóµ÷¼Á +3 Xinyu56 2026-04-01 4/200 2026-04-01 21:50 by ¾²¾²¾²¾²¾²¾²¾²¾
[˶²©¼ÒÔ°] ¿¼Ñе÷¼Á +5 ÂæÍÕÄÐÈË 2026-04-01 5/250 2026-04-01 14:28 by syjjj0321
[¿¼ÑÐ] 352·Ö-085602-Ò»Ö¾Ô¸985 +6 º£Äɰٴ¨Ly 2026-03-29 6/300 2026-03-31 21:06 by yuq
ÐÅÏ¢Ìáʾ
ÇëÌî´¦ÀíÒâ¼û