版块导航
正在加载中...
客户端APP下载
论文辅导
申博辅导
登录
注册
帖子
帖子
用户
本版
应《网络安全法》要求,自2017年10月1日起,未进行实名认证将不得使用互联网跟帖服务。为保障您的帐号能够正常使用,请尽快对帐号进行手机号验证,感谢您的理解与支持!
24小时热门版块排行榜
>
论坛更新日志
(2452)
>
虫友互识
(177)
>
导师招生
(67)
>
文献求助
(62)
>
考博
(27)
>
论文道贺祈福
(24)
>
休闲灌水
(21)
>
基金申请
(19)
>
硕博家园
(19)
>
考研
(16)
>
教师之家
(15)
>
博后之家
(14)
>
招聘信息布告栏
(12)
>
论文投稿
(11)
>
绿色求助(高悬赏)
(10)
>
公派出国
(9)
小木虫论坛-学术科研互动平台
»
专业学科区
»
数学
»
基础数学
»
Matlab求解微分方程
4
1/1
返回列表
查看: 419 | 回复: 3
只看楼主
@他人
存档
新回复提醒
(忽略)
收藏
在APP中查看
八九YH
银虫
(初入文坛)
应助: 1
(幼儿园)
金币: 861
帖子: 32
在线: 76.9小时
虫号: 2110570
注册: 2012-11-06
性别: GG
专业: 美学
[
求助
]
Matlab求解微分方程
求大神们帮帮吧
未命名.jpg
回复此楼
» 本帖已获得的红花(最新10朵)
八九YH
» 猜你喜欢
有院领导为了换新车,用横向课题经费买了俩车
已经有5人回复
有时候真觉得大城市人没有县城人甚至个体户幸福
已经有9人回复
CSC & MSCA 博洛尼亚大学能源材料课题组博士/博士后招生|MSCA经费充足、排名优
已经有6人回复
天津大学招2026.09的博士生,欢迎大家推荐交流(博导是本人)
已经有4人回复
同年申请2项不同项目,第1个项目里不写第2个项目的信息,可以吗
已经有3人回复
面上项目申报
已经有3人回复
酰胺脱乙酰基
已经有9人回复
博士延得我,科研能力直往上蹿
已经有7人回复
面上基金申报没有其他的参与者成吗
已经有5人回复
遇见不省心的家人很难过
已经有22人回复
» 本主题相关价值贴推荐,对您同样有帮助:
偏微分方程Matlab求解
已经有7人回复
变系数偏微分方程matlab求解
已经有6人回复
matlab 非线性微分方程求解
已经有3人回复
如何用MATLAB求解脉冲微分方程并画图
已经有5人回复
求助Matlab求解含已知变量的微分方程组(变量随时间变化的离散值已知)
已经有12人回复
求助,matlab求解二元二阶的常微分方程组
已经有9人回复
matlab如何求解一个非线性微分方程组
已经有8人回复
求助,用matlab解微分方程组,希望高手能给予指点
已经有17人回复
如何用Matlab求时变微分方程的解?
已经有5人回复
matlab解偏微分方程求助
已经有12人回复
求高手解答Matlab求解微分方程的初始值和边界值问题
已经有5人回复
如何用matlab求解矩阵系数的二阶微分方程
已经有13人回复
求助matlab求解复杂微分方程
已经有7人回复
高手进来用matlab求解常微分方程,十分感谢!
已经有17人回复
matlab解微分方程
已经有10人回复
Matlab求解偏微分方程组
已经有22人回复
matlab数值求解边界条件微分方程组
已经有7人回复
matlab解微分方程组
已经有15人回复
matlab 求解隐式常微分方程时用ode15i 函数出现的问题求助
已经有3人回复
用Matlab求解方程
已经有6人回复
【求助】matlab 求解微分方程中的未知参数
已经有20人回复
【求助】向各位大侠求助matlab求解微分方程组遇到的一个问题
已经有21人回复
【求助】积分微分方程matlab求解
已经有6人回复
【求助】matlab怎么求解偏微分方程组啊,先谢谢了
已经有13人回复
机械狗
1楼
2012-12-17 17:08:45
已阅
回复此楼
关注TA
给TA发消息
送TA红花
TA的回帖
八九YH
银虫
(初入文坛)
应助: 1
(幼儿园)
金币: 861
帖子: 32
在线: 76.9小时
虫号: 2110570
注册: 2012-11-06
性别: GG
专业: 美学
忘了说了,x,y都是关于t的函数且x(0)=0,y(0)=0,dx(0)=0,dy(0)=0
我用dsolve怎么解不了啊 求帮忙
赞
一下
回复此楼
机械狗
2楼
2012-12-17 17:11:10
已阅
回复此楼
关注TA
给TA发消息
送TA红花
TA的回帖
dingd
铁杆木虫
(职业作家)
应助: 1641
(讲师)
金币: 15037.3
散金: 101
红花: 234
帖子: 3410
在线: 1223.7小时
虫号: 291104
注册: 2006-10-28
【答案】应助回帖
感谢参与,应助指数 +1
不一定能求出解析解,试试数值解。
是个隐式微分方程,1stOpt求解如下:
CODE:
Variable t=[0:0.1:5],x=0,y=0,x'=0,y'=0;
Plot t[x],x,y[y2];
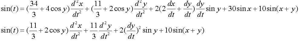
ODEFunction y''=y''+(34/3+4*cos(y))*x''+(11/3+2*cos(y))*y''+2*(2+x'+y')*y'*sin(y)+30*sin(x)+10*sin(x+y)-sin(t);
x''=x''+(11/3+2*cos(y))*x''+11/3*y''+2*y'^2*sin(y)+10*sin(x+y)-sin(t);
jv2.JPG
赞
一下
回复此楼
3楼
2012-12-17 19:10:07
已阅
回复此楼
关注TA
给TA发消息
送TA红花
TA的回帖
八九YH
银虫
(初入文坛)
应助: 1
(幼儿园)
金币: 861
帖子: 32
在线: 76.9小时
虫号: 2110570
注册: 2012-11-06
性别: GG
专业: 美学
送鲜花一朵
谢谢啊
回复此楼
机械狗
4楼
2012-12-17 19:47:31
已阅
回复此楼
关注TA
给TA发消息
送TA红花
TA的回帖
相关版块跳转
数理科学综合
机械
物理
数学
农林
食品
地学
能源
信息科学
土木建筑
航空航天
转基因
我要订阅楼主
八九YH
的主题更新
4
1/1
返回列表
如果回帖内容含有宣传信息,请如实选中。否则帐号将被全论坛禁言
普通表情
龙
兔
虎
猫
百度网盘
|
360云盘
|
千易网盘
|
华为网盘
在新窗口页面中打开自己喜欢的网盘网站,将文件上传后,然后将下载链接复制到帖子内容中就可以了。
信息提示
关闭
请填处理意见
关闭
确定